实用医学杂志 ›› 2025, Vol. 41 ›› Issue (18): 2920-2927.doi: 10.3969/j.issn.1006-5725.2025.18.020

• 医学检查与临床诊断 • 上一篇    

深度学习超声影像组学列线图模型鉴别Ⅰ和Ⅱ型上皮性卵巢癌

杜阳春1,郑红雨1,陈海宁1,郭文文2,姚金秀1,蓝通柳1,肖艳菊1()   

  1. 1.广西壮族自治区人民医院,超声科,(广西 南宁 530021 )
    2.广西壮族自治区人民医院,病理科,(广西 南宁 530021 )
  • 收稿日期:2025-06-06 出版日期:2025-09-20 发布日期:2025-09-25
  • 通讯作者: 肖艳菊 E-mail:13877196198@139.com
  • 基金资助:
    广西重点研发计划项目(编号:桂科AB23026042);广西自然科学基金项目(2024GXNSFBA010171);广西医疗卫生适宜技术开发与推广应用项目(S2023021);广西医疗卫生适宜技术开发与推广应用项目(S2021055)

Ultrasound⁃based deep learning radiomics nomogram to differentiate type and type epithelial ovarian cancer

Yangchun DU1,Hongyu ZHENG1,Haining CHEN1,Wenwen GUO2,Jinxiu YAO1,Tongliu LAN1,Yanju XIAO1()   

  1. Department of Ultrasound,the People's Hospital of Guangxi Zhuang Autonomous Region,Nanning 530021,Guangxi,China
  • Received:2025-06-06 Online:2025-09-20 Published:2025-09-25
  • Contact: Yanju XIAO E-mail:13877196198@139.com

摘要:

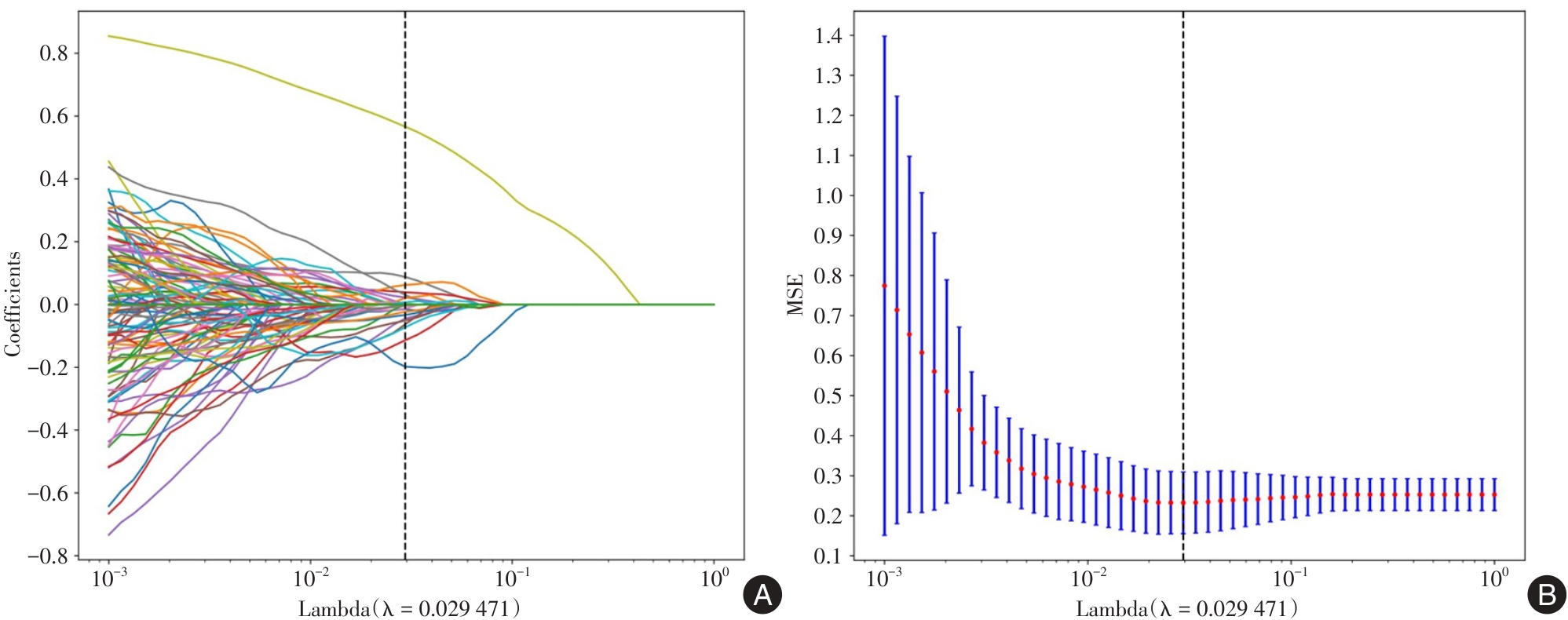
目的 探讨基于超声的深度学习影像组学列线图(DLR_Nomogram)术前无创鉴别Ⅰ和Ⅱ型上皮性卵巢癌(EOC)的价值。 方法 本研究纳入195例EOC患者,按8∶2的比例随机分为训练集和测试集。经过数据预处理、感兴趣区域的勾画、特征的提取、筛选及每个样本最大切面声像图的裁剪提取后,本研究首先构建了3个模型,即影像组学模型(Rad_Sig)、深度迁移学习模型(DTL_Sig)及临床模型(Clinic_Sig);随后构建了融合Rad_Sig、DTL_Sig及Clinic_Sig的联合模型,并可视化为列线图,即DLR_Nomogram。应用受试者工作特征(ROC)曲线及其曲线下面积(AUC)对模型性能进行评估。 结果 测试集中,相比Rad_Sig(AUC: 0.709, 95%CI: 0.539 ~ 0.880)、DTL_Sig (AUC: 0.842, 95%CI: 0.712 ~ 0.972)及Clinic_Sig (AUC: 0.916, 95%CI: 0.827 ~ 1.000),DLR_Nomogram (AUC: 0.951, 95%CI: 0.876 ~ 1.000)的预测性能最佳;其拟合度较好(拟合优度检验:P > 0.05);决策曲线分析表明在一定的阈值范围内,DLR_Nomogram具有更大的临床净获益。 结论 基于超声的DLR_Nomogram对Ⅰ和Ⅱ型EOC具有较好的鉴别能力,或许能为临床医师术前制定个体化诊疗方案提供依据。

关键词: 上皮性卵巢癌, 超声, 影像组学, 深度迁移学习, 列线图

Abstract:

Objective To evaluate an ultrasound-based deep learning radiomics nomogram (DLR_Nomogram) for non-invasively differentiating between type Ⅰ and type Ⅱ epithelial ovarian cancer (EOC) before surgery. Methods In this study, a cohort of 195 patients diagnosed with EOC was analyzed. Participants were randomly divided into a training set and a testing set at an 8∶2 ratio. Following data preprocessing, region of interest (ROI) delineation, feature extraction and selection, as well as the clipping and extraction of the maximum section sonogram for each sample, three initial models were developed: the radiomics signature (Rad_Sig), the deep transfer learning signature (DTL_Sig), and the clinical signature (Clinic_Sig). Subsequently, an integrated model—referred to as the DLR_Nomogram—was constructed by combining Rad_Sig, DTL_Sig, and Clinic_Sig, and was presented in the form of a nomogram. The performance of the model was evaluated using the receiver operating characteristic (ROC) curve and the corresponding area under the curve (AUC). Results In the testing set, the DLR_Nomogram demonstrated superior predictive performance (AUC: 0.951, 95%CI: 0.876 ~ 1.000) compared to Rad_Sig (AUC: 0.709, 95%CI: 0.539 ~ 0.880), DTL_Sig (AUC: 0.842, 95%CI: 0.712 ~ 0.972), and Clinic_Sig (AUC: 0.916, 95%CI: 0.827 ~ 1.000). The Hosmer?Lemeshow goodness-of-fit test for the DLR_Nomogram resulted in a p-value exceeding 0.05, indicating adequate model calibration. Moreover, decision curve analysis revealed that the DLR_Nomogram offers a higher net clinical benefit across a defined range of threshold probabilities. Conclusions The ultrasound-based DLR_Nomogram exhibits a robust ability to differentiate between Type Ⅰ and Type Ⅱ EOC, and may serve as a valuable clinical tool for guiding individualized preoperative diagnostic and therapeutic decision-making.

Key words: epithelial ovarian cancer, ultrasound, radiomics, deep transfer learning, nomogram

中图分类号: