实用医学杂志 ›› 2025, Vol. 41 ›› Issue (6): 838-845.doi: 10.3969/j.issn.1006-5725.2025.06.010

• 临床研究 • 上一篇    

大肠腺瘤性息肉危险因素及预测模型的构建与验证

董魁1,吴洁2,燕静1,刘海涛1,王军1,乔冠恩1()   

  1. 1.邯郸市第一医院消化内一科 (河北 邯郸 056000 )
    2.邯郸市中心医院药学部 (河北 邯郸 056000 )
  • 收稿日期:2024-10-20 出版日期:2025-03-25 发布日期:2025-03-31
  • 通讯作者: 乔冠恩 E-mail:627559246@qq.com
  • 基金资助:
    河北省自然科学基金项目(H2022109014);邯郸市科学技术研究与发展计划项目(22422083078ZC)

Study on risk factors of colorectal adenomatous polyps and construction and validation of prediction model

Kui DONG1,jie WU2,Jing YAN1,Haitao LIU1,Jun WANG1,Guan′en. QIAO1()   

  1. Department of Gastroenterology,the First Hospital of Handan,Handan 056000,Hebei,China
  • Received:2024-10-20 Online:2025-03-25 Published:2025-03-31
  • Contact: Guan′en. QIAO E-mail:627559246@qq.com

摘要:

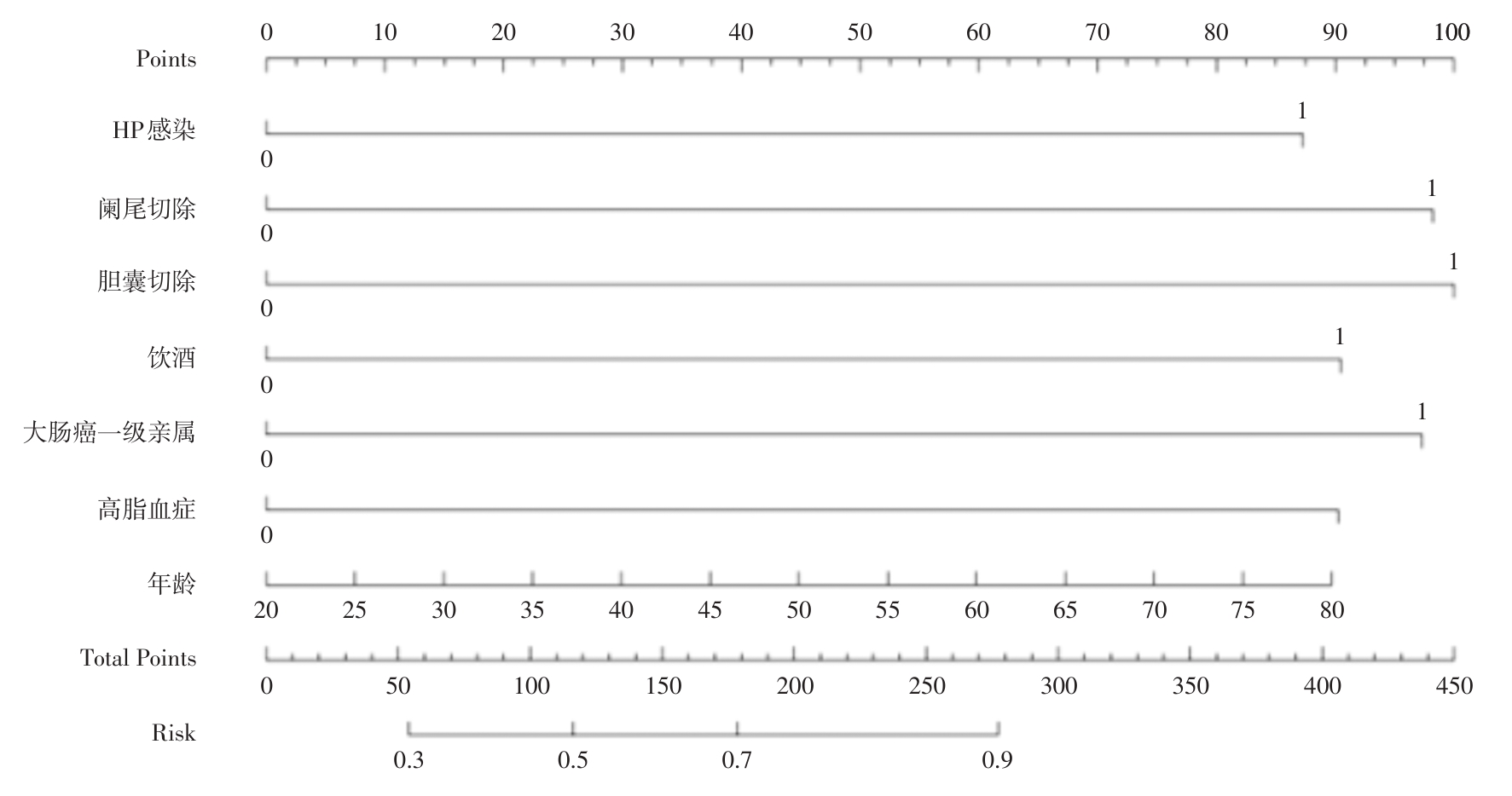
目的 运用logistic回归分析法识别大肠腺瘤性息肉的风险因素,并基于这些要素建立预测模型,随后对模型的有效性进行验证及评价。 方法 纳入2017年1月至2022年1月在邯郸市第一医院接受大肠息肉切除手术的患者1 023例,包含腺瘤性息肉患者(腺瘤性息肉组)676例和非腺瘤性息肉患者(非腺瘤性息肉组)347例。收集了患者的基本信息、病史、结肠镜检查结果和息肉病理结果等数据。通过比较两组间的差异,筛选出显著性差异的指标作为模型构建的候选因素,并将患者按8∶2的比例随机分为训练集与验证集。利用训练集数据构建风险预测模型,并利用R studio软件绘制列线图以直观展示模型。最后,采用验证集内部验证模型。通过受试者工作(ROC)曲线来评估模型的区分能力,Calibration校准曲线来评价模型的精确度,决策曲线分析(DCA)评价模型在临床实践中的应用价值。 结果 两组在年龄、饮酒习惯、大肠癌家族史、高脂血症、胆囊切除史、HP感染和阑尾切除史变量的比较中存在显著性差异(P < 0.05),这些因素被纳入模型构建。随机分配了818例进入训练集,205例进入验证集。对训练集进行多元逻辑回归分析确认了年龄(OR = 1.021, 95%CI: 1.006 ~ 1.036, P = 0.006)、饮酒(OR = 3.440, 95%CI: 2.251 ~ 5.257, P < 0.001)、大肠癌一级亲属(OR = 3.775, 95%CI:1.881 ~ 7.577, P < 0.001)、高脂血症(OR = 3.428, 95%CI:2.443 ~ 4.808, P < 0.001)、胆囊切除(OR = 3.916, 95%CI:1.756 ~ 8.735, P < 0.001)、幽门螺杆菌(HP)感染(OR = 3.292, 95%CI:2.309 ~ 4.693, P < 0.001)、阑尾切除(OR = 3.819, 95%CI:2.002 ~ 7.286, P < 0.001)为腺瘤性息肉发病的独立危险因素。据此构建了大肠腺瘤性息肉的预测模型,P = 1/(1 + e-Y ),其中Y = 0.020 × 年龄 + 1.328 × 大肠癌一级亲属 + 1.235 × 饮酒 + 1.232 × 高脂血症 + 1.365 × 胆囊切除 + 1.192 × HP感染 + 1.340 × 阑尾切除 - 1.995。该模型的训练集及验证集的AUC分别为0.763(95%CI: 0.729 ~ 0.797)和0.769(95%CI: 0.644 ~ 0.787),显示出具有良好的能力。校准曲线显示模型拟合度良好,决策曲线分析表明模型在广泛的获益阈值下均能实现积极的净获益,证实了模型的临床应用价值。 结论 年龄、饮酒、大肠癌一级亲属、高脂血症、胆囊切除、HP感染、阑尾切除为腺瘤性息肉发病的独立危险因素(P < 0.05)。基于上述危险因素构建的预测模型对大肠腺瘤性息肉的预测具有较高的实用价值。

关键词: 大肠息肉, 腺瘤性息肉, 非腺瘤性息肉, 预测模型, 列线图, ROC曲线

Abstract:

Objective To identify risk factors for colorectal adenomatous polyps using logistic regression analysis, construct a prediction model based on these identified factors, and subsequently evaluate the performance of the model. Methods Encompassed 1,023 patients who underwent large intestine polyp resection at the First Hospital of Handan between January 2017 and January 2022. Among these patients, 676 had adenomatous polyps (adenomatous polyp group) and 347 had non-adenomatous polyps (non-adenomatous polyp group). We collected data on basic information, medical history, colonoscopy results, and polyp pathology. By comparing the two groups, we identified significant differences in various indicators, which were selected as candidate factors for model construction. Patients were randomly divided into a training set and a validation set at an 8∶2 ratio. Using the training set data, we constructed a risk prediction model and developed a nomogram using R Studio software to visually present the model. Finally, we internally validated the model using the validation set. The model's discrimination ability was evaluated using the ROC curve, its accuracy was assessed via the calibration curve, and its clinical utility was evaluated through decision curve analysis (DCA). Results Significant differences were observed between the two groups in terms of age, drinking habits, family history of colorectal cancer, hyperlipidemia, history of cholecystectomy, HP infection, and history of appendectomy (P < 0.05). These variables were included in the model construction. A total of 818 participants were randomly assigned to the training set, while 205 were allocated to the validation set. Multivariate logistic regression analysis on the training set confirmed that age (OR = 1.021, 95%CI: 1.006 ~ 1.036, P = 0.006), alcohol consumption (OR = 3.440, 95%CI: 2.251 ~ 5.257, P < 0.001), first-degree relatives with colorectal cancer (OR = 3.775, 95%CI: 1.881 ~ 7.577, P < 0.001), hyperlipidemia (OR = 3.428, 95%CI: 2.443 ~ 4.808, P < 0.001), history of cholecystectomy (OR = 3.916, 95%CI: 1.756 ~ 8.735, P < 0.001), Helicobacter pylori (HP) infection (OR = 3.292, 95%CI: 2.309 ~ 4.693, P < 0.001), and history of appendectomy (OR = 3.819, 95%CI: 2.002 ~ 7.286, P < 0.001) were independent risk factors for adenomatous polyps. Consequently, a prediction model for large intestine adenomatous polyps was developed using the formula P = 1/(1+e-Y), where Y = 0.020 × age + 1.328 × first-degree relatives with colorectal cancer + 1.235 × alcohol consumption + 1.232 × hyperlipidemia + 1.365 × cholecystectomy + 1.192 × HP infection + 1.340 × appendectomy - 1.995. The model demonstrated good performance with AUC values of 0.763 (95%CI: 0.729 ~ 0.797) for the training set and 0.769 (95%CI: 0.644 ~ 0.787) for the validation set. The calibration curve indicated a good fit, and decision curve analysis showed that the model could achieve positive net benefit across a wide range of threshold probabilities, confirming its clinical utility. Conclusions Age, alcohol consumption, a family history of colorectal cancer in first-degree relatives, hyperlipidemia, cholecystectomy, HP infection, and appendectomy were identified as independent risk factors for adenomatous polyps. A prediction model incorporating these risk factors holds significant practical value for predicting the occurrence of colorectal adenomatous polyps.

Key words: colorectal polyps, adenomatous polyps, non-adenomatous polyps, prediction model, nomogram, ROC curve

中图分类号: