实用医学杂志 ›› 2025, Vol. 41 ›› Issue (5): 683-690.doi: 10.3969/j.issn.1006-5725.2025.05.010

• 临床研究 • 上一篇    

儿童先天性心脏病术后抗生素相关性腹泻预测模型的构建与验证

刘冬丽1,全梓林2,钟灵秀1,陈琦琦1,蔡文巧1,庄森培1,魏莹1,潘惠仪1,林雅文1()   

  1. 1.南方医科大学附属广东省人民医院,儿童重症监护室,(广东 广州 510080 )
    2.南方医科大学附属广东省人民医院,肾内科,(广东 广州 510080 )
  • 收稿日期:2024-12-27 出版日期:2025-03-10 发布日期:2025-03-20
  • 通讯作者: 林雅文 E-mail:linyawen@gdph.org.cn
  • 基金资助:
    广东省医学科研基金项目(A2024702)

Construction and validation of a predictive model for antibiotic-associated diarrhea after surgery in children with congenital heart disease

Dongli LIU1,Zilin QUAN2,Lingxiu ZHONG1,Qiqi CHEN1,Wenqiao CAI1,Senpei ZHUANG1,Ying WEI1,Huiyi PAN1,Yawen. LIN1()   

  1. *.Pediatric Intensive Care Unit,Guangdong Provincial People's Hospital,Affiliated Hospital of Southern Medical University,Guangzhou 510080,Guangdong,China
  • Received:2024-12-27 Online:2025-03-10 Published:2025-03-20
  • Contact: Yawen. LIN E-mail:linyawen@gdph.org.cn

摘要:

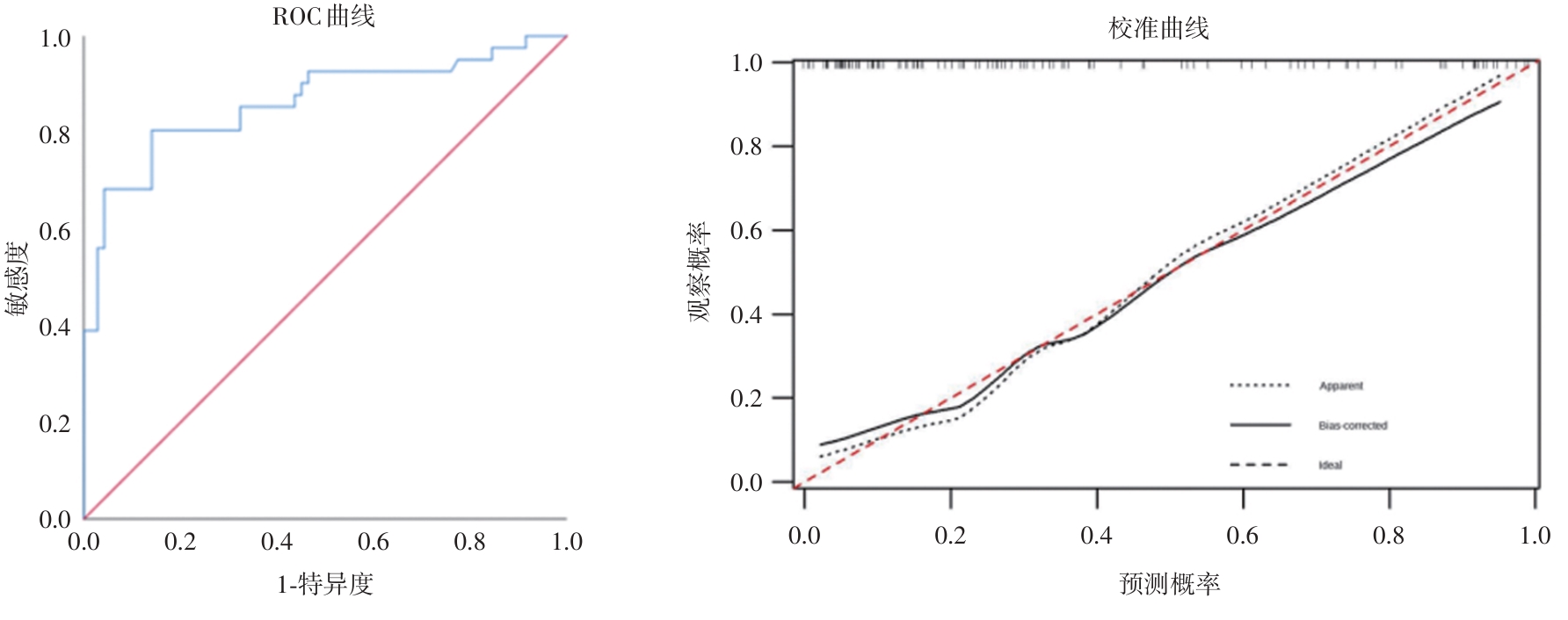
目的 探讨儿童先天性心脏病术后发生抗生素相关性腹泻(antibiotic-associated diarrhea,AAD)的影响因素,构建列线图预测模型,并进行验证。 方法 回顾性分析2022年7月至2024年7月儿科重症监护室(PICU)先心病手术患儿临床资料,分为AAD组、非AAD组,采用单因素和多因素logistic回归分析筛出儿童先心病术后AAD发生的影响因素,构建风险预测模型,绘制列线图。使用受试者工作特征曲线(ROC)计算曲线下面积、Hosmer-Lemeshow拟合度检验、绘制校准曲线及临床决策曲线综合评价模型的预测性能。选取心脏外科重症监护室(SICU)患儿作为外部验证。 结果 先心病术后患儿AAD的发生率为48.52%(229/472),抗生素联合使用、机械通气、C反应蛋白水平、手术时间、抗生素使用时间是影响AAD发生的危险因素(OR > 1,P < 0.05),使用微生态制剂是保护因素(OR < 1,P < 0.05)。该模型有较好的区分度[ROC曲线下面积:建模组为0.922(95%CI:0.894 ~ 0.951),内部验证组为0.886(95%CI:0.838 ~ 0.915),外部验证组为0.862(95%CI:0.784 ~ 0.941)]、校准度(Hosmer-Lemeshow检验:建模组为χ2 = 7.96、P = 0.538,内部验证组为χ2 = 4.24、P = 0.895,外部验证组为χ2 = 9.923、P = 0.270)和临床获益效能。 结论 抗生素联合使用、抗生素使用时间、机械通气、手术时间、C反应蛋白水平、使用微生态制剂等是AAD发生的影响因素,据此构建的风险预测模型预测效能良好,可为日后相关防治措施的制定与实施提供参考。

关键词: 儿童, 先心病, 抗生素相关性腹泻, 影响因素, 预测模型, 列线图

Abstract:

Objective To investigate the influencing factors of antibiotic-associated diarrhea (AAD) following congenital heart disease (CHD) surgery in pediatric patients, develop a nomogram-based predictive model, and validate its efficacy. Methods A retrospective analysis was conducted on the clinical data of pediatric patients who underwent CHD surgery in the Pediatric Intensive Care Unit (PICU) of a tertiary hospital in Guangdong Province from July 2022 to July 2024. Patients were categorized into an AAD group and a non-AAD group. Univariate and multivariate logistic regression analyses were performed to identify risk factors for AAD occurrence following CHD surgery. A risk prediction model was developed, and a nomogram was constructed. The predictive performance of the model was evaluated using the Receiver Operating Characteristic (ROC) curve to calculate the area under the curve (AUC), the Hosmer-Lemeshow goodness-of-fit test, calibration curves, and clinical decision curve analysis. External validation of the model was conducted using data from patients in the Surgical Intensive Care Unit (SICU). Results The incidence of AAD following CHD surgery was 48.52% (229 out of 472 cases). Risk factors for AAD included the combined use of antibiotics, mechanical ventilation, elevated C-reactive protein levels, prolonged surgical duration, and extended antibiotic usage time (all with OR > 1, P < 0.05). Conversely, probiotic administration was identified as a protective factor (OR < 1, P < 0.05). The predictive model demonstrated excellent discrimination, as evidenced by the ROC curve areas: 0.922 (95% CI: 0.894 ~ 0.951) in the modeling group, 0.886 (95% CI: 0.838 ~ 0.915) in the internal validation group, and 0.862 (95% CI: 0.784 ~ 0.941) in the external validation group. Additionally, the model exhibited satisfactory calibration, as indicated by the Hosmer-Lemeshow test results: χ2 = 7.96, P = 0.538 in the modeling group; χ2 = 4.24, P = 0.895 in the internal validation group; and χ2 = 9.923, P = 0.270 in the external validation group. Furthermore, the model provided significant clinical utility. Conclusions Combined antibiotic use, duration of antibiotic therapy, mechanical ventilation, surgical duration, C-reactive protein (CRP) levels, and probiotic administration are key factors influencing the occurrence of AAD. The risk prediction model developed based on these variables demonstrates robust predictive performance and can serve as a valuable reference for the development and implementation of preventive and therapeutic strategies in clinical practice.

Key words: children, congenital heart disease, antibiotic-associated diarrhea, risk factors, predictive model, nomogram

中图分类号: