实用医学杂志 ›› 2025, Vol. 41 ›› Issue (3): 414-421.doi: 10.3969/j.issn.1006-5725.2025.03.017

• 医学检查与临床诊断 • 上一篇    

自动心肌运动定量技术评价2型糖尿病合并肾功能不全患者左心室收缩功能

李妍,金子燃,孙皓天,刘璇,高静()   

  1. 锦州医科大学附属第一医院超声医学科 (辽宁 锦州 121000 )
  • 收稿日期:2024-09-07 出版日期:2025-02-10 发布日期:2025-02-19
  • 通讯作者: 高静 E-mail:gaojinggg@163.com

Assessment of left ventricular systolic function in type 2 diabetes patients with renal insufficiency by aCMQ technique

Yan LI,Ziran JIN,Haotian SUN,Xuan LIU,Jing. GAO()   

  1. Department of Ultrasound Medicine,First Affiliated Hospital of Jinzhou Medical University,Jinzhou 121000,Liaoning,China
  • Received:2024-09-07 Online:2025-02-10 Published:2025-02-19
  • Contact: Jing. GAO E-mail:gaojinggg@163.com

摘要:

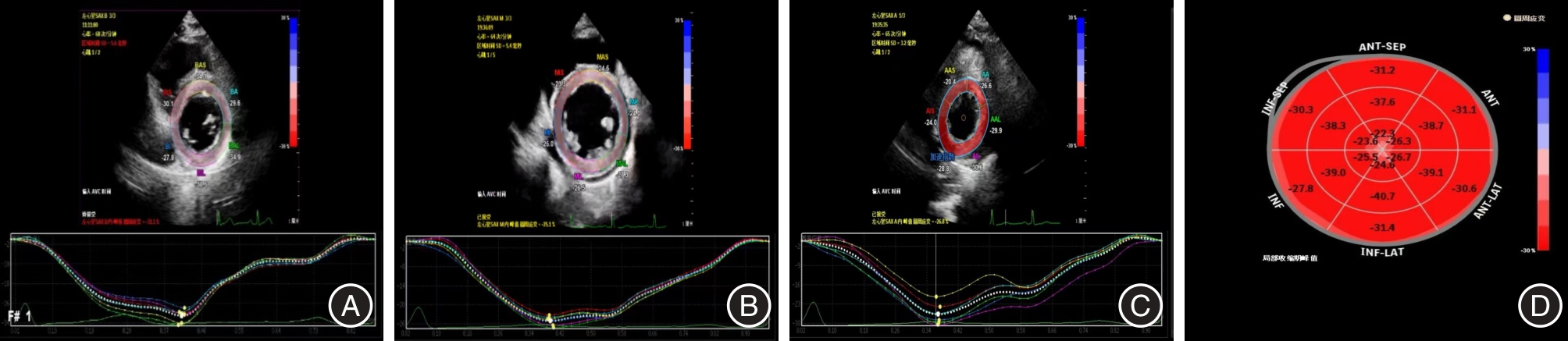
目的 应用自动心肌运动定量技术(aCMQ)评价2型糖尿病(T2DM)合并肾功能不全(CKD)患者的左室收缩功能并探讨其与临床生化指标的相关性。 方法 纳入80例T2DM患者,分为DM组(不合并CKD,n = 40)和DN组(合并CKD,n = 40),另外选取40例健康志愿者作为对照组,记录所有受试者的一般临床资料,并且行常规超声心动图和aCMQ技术检查,获取常规超声测量值和 aCMQ相关参数。 结果 aCMQ相关参数比较:三组左室整体纵向应变(LVGLS)、左室心尖两腔心纵向应变(LVAP2LS)、左室心尖三腔心纵向应变(LVAP3LS)、左室心尖四腔心纵向应变(LVAP4LS)差异均有统计学意义(P < 0.05)。DN组左室整体环向应变(LVGCS)与另外两组相比差异均有统计学意义(P < 0.05)。左室短轴基底段环向应变(LVSAXBCS)、左室短轴中间段环向应变(LVSAXMCS)、左室短轴心尖段环向应变(LVSAXACS)差异均无统计学意义(P > 0.05)。左室应变参数与高敏C反应蛋白(hs-CRP)、糖化白蛋白(GA)、糖化血红蛋白、肌酐、尿素及尿酸呈负相关,而与肾小球滤过率(eGFR)呈正相关。其中hs-CRP、GA和eGFR与左室应变参数之间有较好的相关性。 结论 aCMQ技术可早期发现T2DM合并CKD患者左室功能的恶化,通过左室应变参数与hs- CRP、GA和eGFR的相关性有助于更好地评估其心脏受累情况。

关键词: aCMQ技术, 超声心动图, 2型糖尿病, 糖尿病肾病

Abstract:

Objective To evaluate the left ventricular systolic function of patients with type 2 diabetes mellitus (T2DM) combined with renal insufficiency (CKD) by applying automated myocardial motion quantification (aCMQ) and to investigate its correlation with clinical biochemical indexes. Methods 80 patients with T2DM were enrolled, divided into DM group (without CKD, n = 40) and DN group (with CKD, n = 40), and 40 healthy volunteers were selected as the control group. The general clinical data of all subjects were recorded, and routine echocardiography and aCMQ were performed to obtain routine ultrasonographic measurements and aCMQ-related parameters. Results Comparison of aCMQ-related parameters: The differences in LV global longitudinal strain (LVGLS), LV apical 2-chamber longitudinal strain (LVAP2LS), LV apical 3-chamber longitudinal strain (LVAP3LS), and LV apical 4-chamber longitudinal strain (LVAP4LS) among the three groups were all statistically significant (P < 0.05). The differences in LV global circumferential strain (LVGCS) between the DN group and the other two groups were statistically significant (P < 0.05). The differences in LV short-axis basal segment cyclic strain (LVSAXBCS), LV short-axis middle segment cyclic strain (LVSAXMCS), and LV short-axis apical segment cyclic strain (LVSAXACS) were not statistically significant (P > 0.05). LV strain was negatively correlated with Hs- CRP, GA, HbA1c, creatinine, urea, and uric acid, and positively correlated with eGFR. Correlation. High-sensitivity C-reactive protein (Hs-CRP), glycated albumin (GA) and eGFR showed good correlation with LV strain parameters. Conclusion The aCMQ technique can detect the deterioration of left ventricular function in patients with type 2 diabetes mellitus combined with renal insufficiency at an early stage, and the correlation between left ventricular strain parameters and hs-CRP, GA and eGFR can help to better assess their cardiac involvement.

Key words: aCMQ technique, echocardiography, type 2 diabetes mellitus, diabetic nephropathy

中图分类号: