The Journal of Practical Medicine ›› 2025, Vol. 41 ›› Issue (23): 3697-3703.doi: 10.3969/j.issn.1006-5725.2025.23.010
• Clinical Research • Previous Articles
Kaiyang WANG1,2,Jiahui YONG1,2,Jing TAO1,2,Xin. SHEN1,2(
)
Received:2025-07-10
Online:2025-12-10
Published:2025-12-18
Contact:
Xin. SHEN
E-mail:xjrmyyxnk@sina.com
CLC Number:
Kaiyang WANG,Jiahui YONG,Jing TAO,Xin. SHEN. Correlation between atherogenic index of plasma and prognosis of patients with acute myocardial infarction[J]. The Journal of Practical Medicine, 2025, 41(23): 3697-3703.
Tab.1
Baseline characteristics of the three groups"
| 临床资料 | 低值组(n = 237) | 中值组(n = 238) | 高值组(n = 237) | Z/χ2值 | P值 |
|---|---|---|---|---|---|
| 年龄/岁 | 61(51,69) | 59(52,67) | 60(51,69) | 0.434 | 0.805 |
| 性别/例 | 4.204 | 0.122 | |||
| 男 | 175 | 181 | 161 | ||
| 女 | 62 | 57 | 76 | ||
| 高血压/[例(%)] | 135(56.96) | 146(61.34) | 130(54.85) | 2.136 | 0.344 |
| 糖尿病/[例(%)] | 88(37.13) | 94(39.50) | 102(43.04) | 1.747 | 0.417 |
| 血脂异常/[例(%)] | 193(81.43) | 237(99.58) | 237(100.00) | 90.003 | < 0.001 |
| 腹型肥胖/[例(%)] | 84(35.44) | 104(43.70) | 95(40.08) | 3.395 | 0.183 |
| 吸烟史/[例(%)] | 85(35.86) | 82(34.45) | 99(41.77) | 3.057 | 0.217 |
| RBC/(× 1012/L) | 4.52(4.14,4.89) | 4.56(4.22,4.91) | 4.57(4.20,4.93) | 0.909 | 0.635 |
| WBC/(× 109/L) | 6.66(5.62,8.00) | 7.16(5.81,8.68) | 7.42(6.10,8.94) | 13.791 | 0.001 |
| NE/% | 61.2(54.43,66.60) | 60.5(53.62,67.45) | 61.7(56.00,68.00) | 3.206 | 0.201 |
| LY/% | 29.3(22.80,36.00) | 29.35(22.88,36.1) | 28.7(22.01,34.1) | 2.482 | 0.289 |
| HbA1c/% | 5.30(5.00,5.62) | 5.31(5.00,5.63) | 5.38(5.10,5.69) | 5.619 | 0.060 |
| Hb/(g/L) | 138(128,148) | 139(130,150) | 139(128,148) | 0.666 | 0.717 |
| FBG/(mmol/L) | 5.83(4.80,7.67) | 5.77(4.76,7.71) | 6.3(5.05,8.49) | 7.552 | 0.023 |
| BUN/(mmol/L) | 5.42(4.33,6.52) | 5.31(4.38,6.52) | 5.52(4.47,6.72) | 1.236 | 0.539 |
| UA/(μmol/L) | 321(266,378) | 324(278,391) | 325(268,399) | 1.092 | 0.579 |
| TG/(mmol/L) | 1.06(0.86,1.24) | 1.62(1.36,1.89) | 2.90(2.27,3.91) | 16.528 | < 0.001 |
| TC/(mmol/L) | 3.67(3.11,4.45) | 3.75(3.14,4.54) | 4.23(3.44,5.00) | 21.092 | < 0.001 |
| HDL-C/(mmol/L) | 1.15(0.98,1.35) | 0.94(0.78,1.07) | 0.79(0.69,0.93) | 37.867 | < 0.001 |
| LDL-C/(mmol/L) | 2.28(1.71,2.91) | 2.40(1.87,2.97) | 2.55(1.97,3.13) | 8.728 | 0.013 |
| 腰围/cm | 80(65,92) | 83(66,94) | 83(68,98) | 4.053 | 0.132 |
| AIP指数(x ± s) | -0.14 ± 0.34 | 0.57 ± 0.17 | 1.33 ± 0.39 | 85.896 | < 0.001 |
| Gensini评分/分 | 21(7,42) | 21(9,52) | 22(8,54) | 1.869 | 0.393 |
| 随访时间/个月 | 28(21,36) | 28(21,41) | 27(19,38) | 1.450 | 0.484 |
| MACEs/[例(%)] | 33(13.92) | 38(15.97) | 54(22.78) | 7.052 | 0.029 |
Tab.2
Cox regression analysis of MACEs"
| 变量 | 单因素 | 多因素 | ||
|---|---|---|---|---|
| HR(95%CI) | P值 | HR(95%CI) | P值 | |
| 年龄 | 1.014(0.997 ~ 1.032) | 0.110 | ||
| 男性 | 0.739(0.509 ~ 1.074) | 0.113 | ||
| 高血压 | 2.058(1.396 ~ 3.036) | < 0.001 | 2.123(1.424 ~ 3.164) | < 0.001 |
| 糖尿病 | 1.829(1.287 ~ 2.601) | < 0.001 | 1.667(1.149 ~ 2.427) | 0.007 |
| 血脂异常 | 2.662(0.847 ~ 8.370) | 0.094 | ||
| 腹型肥胖 | 1.671(1.177 ~ 2.374) | 0.004 | 1.307(0.903 ~ 1.891) | 0.156 |
| 吸烟史 | 0.728(0.497 ~ 1.065) | 0.102 | ||
| RBC | 0.924(0.677 ~ 1.261) | 0.619 | ||
| WBC | 1.051(0.983 ~ 1.124) | 0.148 | ||
| NE | 1.012(0.996 ~ 1.028) | 0.152 | ||
| LY | 0.989(0.971 ~ 1.007) | 0.210 | ||
| HbA1c | 1.154(0.966 ~ 1.378) | 0.115 | ||
| Hb | 0.996(0.987 ~ 1.006) | 0.443 | ||
| FBG | 1.011(0.969 ~ 1.054) | 0.621 | ||
| BUN | 1.064(0.971 ~ 1.166) | 0.185 | ||
| UA | 1.001(0.999 ~ 1.003) | 0.351 | ||
| TG | 1.167(1.038 ~ 1.311) | 0.010 | 0.853(0.670 ~ 1.087) | 0.199 |
| TC | 1.113(0.948 ~ 1.326) | 0.196 | ||
| HDL-C | 0.373(0.182 ~ 0.771) | 0.008 | 0.625(0.247 ~ 1.630) | 0.325 |
| LDL-C | 1.141(0.945 ~ 1.377) | 0.170 | ||
| 腰围 | 1.015(1.012 ~ 1.018) | < 0.001 | 1.785(0.931 ~ 3.471) | 0.081 |
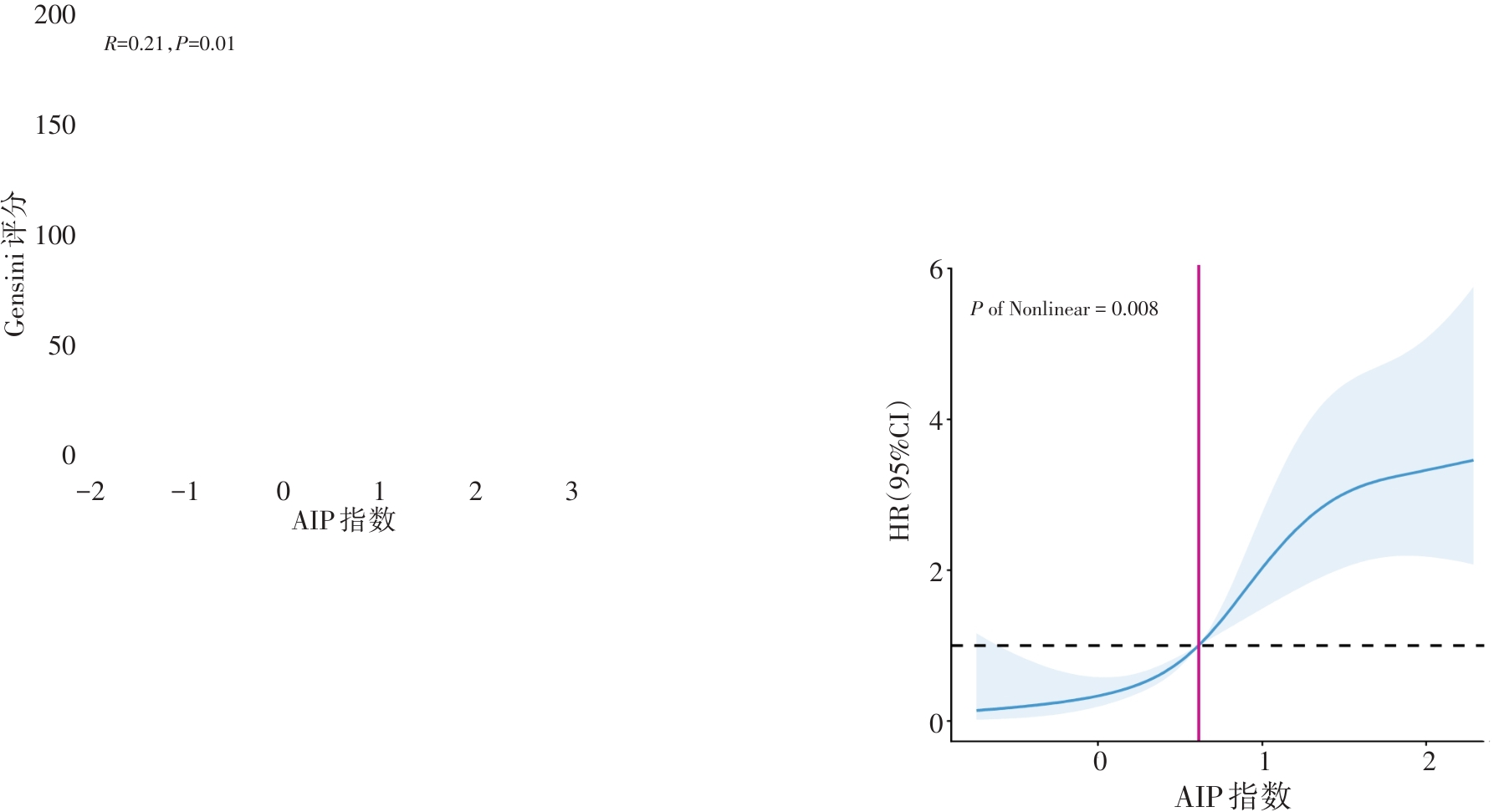
| AIP指数 | 1.534(1.181 ~ 1.992) | 0.001 | 2.024(1.211 ~ 3.381) | 0.007 |
| Gensini评分 | 1.022(1.019 ~ 1.025) | < 0.001 | 1.023(1.026 ~ 1.027) | < 0.001 |
Tab.4
Stratified analysis of the predictive value of AIP index for MACEs risk"
| 亚组 | HR(95%CI) | P值 |
|---|---|---|
| < 65岁 | 1.55(1.10 ~ 2.18) | 0.961 |
| ≥ 65岁 | 1.52(1.01 ~ 2.27) | |
| 男性 | 1.38(0.99 ~ 1.93) | 0.401 |
| 女性 | 1.73(1.14 ~ 2.62) | |
| 有高血压 | 1.42(1.05 ~ 1.93) | 0.367 |
| 无高血压 | 1.83(1.11 ~ 3.02) | |
| 有糖尿病 | 1.50(1.05 ~ 2.13) | 0.839 |
| 无糖尿病 | 1.55(1.05 ~ 2.32) | |
| 有血脂异常 | 1.46(1.10 ~ 1.92) | 0.473 |
| 无血脂异常 | 6.59(0.13 ~ 7.01) | |
| 有腹型肥胖 | 1.59(1.10 ~ 2.29) | 0.736 |
| 无腹型肥胖 | 1.44(0.99 ~ 2.10) |
| [1] |
中国心血管健康与疾病报告编写组, 胡盛寿. 中国心血管健康与疾病报告2022概要[J]. 中国循环杂志, 2023, 38(6): 583-612. doi:10.3969/j.issn.1000-3614.2023.06.001
doi: 10.3969/j.issn.1000-3614.2023.06.001 |
| [2] | 苏州工业园区东方华夏心血管健康研究院, 中国医师协会胸痛专业委员会, 霍勇,等. 《胸痛中心质控报告(2022)》概要[J]. 中国介入心脏病学杂志, 2023, 31(11): 820-827. |
| [3] | 新华社. 中共中央国务院印发《"健康中国2030"规划纲要》[J]. 中华人民共和国国务院公报, 2016(32): 5-20. |
| [4] | 中国血脂管理指南修订联合专家委员会, 李建军, 赵水平,等. 中国血脂管理指南(2023年)[J]. 中国循环杂志, 2023, 38(3): 237-271. |
| [5] | 中国血脂管理指南修订联合专家委员会. 中国血脂管理指南(2023年)[J]. 中华心血管病杂志, 2023, 51(3): 221-255. |
| [6] | 王雪华, 李红建. 血浆致动脉硬化指数的临床研究进展[J]. 中国动脉硬化杂志, 2022, 30(5): 449-453. |
| [7] |
WON K B, HEO R, PARK H B, et al. Atherogenic index of plasma and the risk of rapid progression of coronary atherosclerosis beyond traditional risk factors[J]. Atherosclerosis, 2021, 324: 46-51. doi:10.1016/j.atherosclerosis.2021.09.004
doi: 10.1016/j.atherosclerosis.2021.09.004 |
| [8] | 吕素洁, 吴寿岭, 朱辰蕊,等. 血浆致动脉粥样硬化指数对急性心肌梗死发生的预测价值[J]. 中国心血管杂志, 2024, 29(1): 40-45. |
| [9] | BYRNR R A, ROSSELLO X, COUGHLAN J J, et al. 2023 ESC Guidelines for the management of acute coronary syndromes[J]. Eur Heart J, 2023, 44(38): 3720-3826. |
| [10] |
WANG K Y, ZHENG Y Y, WU T T, et al. Predictive Value of Gensini Score in the Long-Term Outcomes of Patients With Coronary Artery Disease Who Underwent PCI[J]. Front Cardiovasc Med, 2021, 8: 778615. doi:10.3389/fcvm.2021.778615
doi: 10.3389/fcvm.2021.778615 |
| [11] |
REYNOLDS H R, SHAW L J, MIN J K, et al. Outcomes in the ISCHEMIA Trial Based on Coronary Artery Disease and Ischemia Severity[J]. Circulation, 2021, 144(13): 1024-1038. doi:10.1161/circulationaha.120.049755
doi: 10.1161/circulationaha.120.049755 |
| [12] | 中国高血压防治指南修订委员会, 高血压联盟(中国,等.中国高血压防治指南(2024年修订版)[J]. 中华高血压杂志(中英文), 2024, 32(7): 603-700. |
| [13] | 李沛城, 冯波. 《中国糖尿病防治指南(2024版)》更新要点解读[J]. 同济大学学报(医学版), 2025, 46(2): 151-158. |
| [14] | 王增武, 刘静, 李建军, 等. 中国血脂管理指南(2023年)[J]. 中国循环杂志, 2023, 38(3): 237-271. |
| [15] | 国家卫生健康委员会肥胖症诊疗指南编写委员会. 肥胖症诊疗指南(2024年版)[J]. 中国循环杂志, 2025, 40(1): 6-30. |
| [16] | 刘明波, 何新叶, 杨晓红, 等. 《中国心血管健康与疾病报告2024》要点解读[J]. 实用医学杂志, 2025, 41(14): 2111-2131. |
| [17] |
WANG L, CHEN F, CHAI Xet al. Atherogenic Index of Plasma Is an Independent Risk Factor for Coronary Artery Disease and a Higher SYNTAX Score[J]. Angiol J Vascr Dis, 2021, 72(2): 309-321. doi:10.1177/0003319720949804
doi: 10.1177/0003319720949804 |
| [18] | NEELAND I J, ROSS R, DESPRES J P, et al. Visceral and ectopic fat, atherosclerosis, and cardiometabolic disease: a position statement[J]. Lancet Diabetes Endocrinol, 2022, 7(9): 715-725. |
| [19] | 王凯阳, 陶静, 吴婷婷, 等. 新型人体测量学指标与急性心肌梗死患者长期预后的相关性[J]. 实用医学杂志, 2024, 40(21): 3040-3046. |
| [20] | ZHU X, YU L, ZHOU H, et al. Atherogenic index of plasma is a novel and better biomarker associated with obesity: a population-based cross-sectional study in China[J]. Lipids Health Dis, 2022, 17(1): 1126-1138. |
| [21] |
LI Y W, KAO T W, CHANG P K, et al. Atherogenic index of plasma as predictors for metabolic syndrome, hypertension and diabetes mellitus in Taiwan citizens: A 9-year longitudinal study[J]. Sci Rep, 2021, 11(1): 206-218. doi:10.1038/s41598-021-89307-z
doi: 10.1038/s41598-021-89307-z |
| [22] |
YIN B, WU Z, XIA Y, et al. Non-linear association of atherogenic index of plasma with insulin resistance and type 2 diabetes: A cross-sectional study[J]. Cardiovasc Diabetol, 2023, 22(1): 157. doi:10.1186/s12933-023-01886-5
doi: 10.1186/s12933-023-01886-5 |
| [23] |
ZHENG G, JIN J, WANG F, et al. Association between atherogenic index of plasma and future risk of cardiovascular disease in individuals with cardiovascular-kidney-metabolic syndrome stages 0-3: A nationwide prospective cohort study[J]. Cardiovasc Diabetol, 2025, 24(1): 22. doi:10.1186/s12933-025-02589-9
doi: 10.1186/s12933-025-02589-9 |
| [24] |
BALLING M, NORDESTGAARD B G, VARBO A, et al. Small Dense Low-Density Lipoprotein Cholesterol and Ischemic Stroke[J]. Ann Neurol, 2023, 93(5): 952-964. doi:10.1002/ana.26598
doi: 10.1002/ana.26598 |
| [25] |
ARAI T, SEKIMOTO T, KOBA S, et al. Impact of small dense low-density lipoprotein cholesterol and triglyceride-rich lipoproteins on plaque rupture with ST-segment elevation myocardial infarction[J]. J Clin Lipidol, 2022, 16(5): 725-732. doi:10.1016/j.jacl.2022.07.012
doi: 10.1016/j.jacl.2022.07.012 |
| Viewed | ||||||
|
Full text |
|
|||||
|
Abstract |
|
|||||

