The Journal of Practical Medicine ›› 2024, Vol. 40 ›› Issue (8): 1088-1094.doi: 10.3969/j.issn.1006-5725.2024.08.012

• Basic Research • Previous Articles     Next Articles

Short⁃chain fatty acids alleviate γδT cell⁃mediated inflammatory response via inhibiting IL⁃17A and NF⁃κB signaling pathway

Pan LIU1,2,Deshuang XI2,Rui HUANG3,Yilin TENG2,Rui LIU4,Gaofeng ZENG3,Shaohui. ZONG2()   

  1. *.Department of Orthopaedics,the Third Affiliated Hospital of Xinxiang Medical College,Xinxiang 453000,China
    *.Department of Spine and Osteopathy,the First Affiliated Hospital of Guangxi Medical University,Nanning 530021,China
  • Received:2023-08-10 Online:2024-04-25 Published:2024-04-19
  • Contact: Shaohui. ZONG E-mail:xiaohui3008@126.com

Abstract:

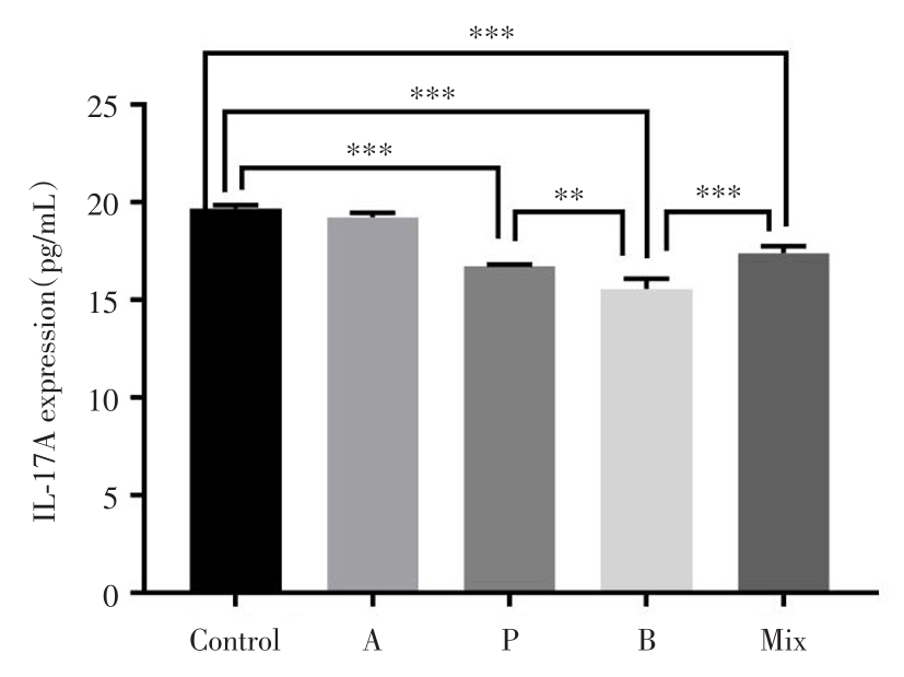
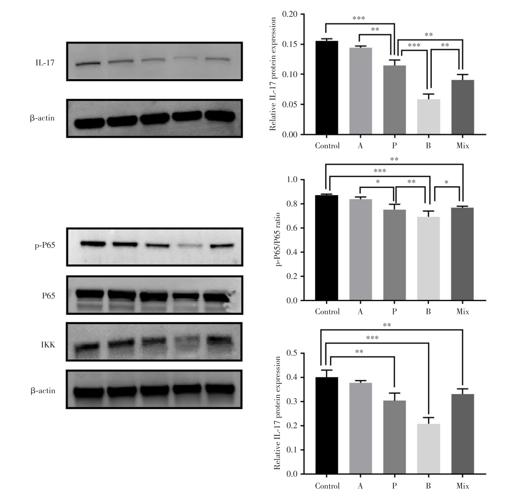
Objective To explore the mechanism of short-chain fatty acids in alleviating γδT cell-mediated inflammatory response. Methods A certain concentration of short-chain fatty acids was used to intervene in rat intestinal-derived γδT cells. CCK-8 was used to detect the effect of shortchain fatty acids on γδT activity. ELISA was used to detect the content of the IL-17A, RT-qPCR was utilized to detect the expression of the IL-17A, and flow cytometry was applied to analyze the IL-17+γδT cell frequency. The effect of SCFAs on IL-17A and NF-κB signaling pathway in γδT cells were observed by Western blot. Results CCK-8 assay showed that the concentration of sodium acetate was less than or equal to 0.5 mmol/L, and the concentrations of sodium propionate, sodium butyrate, and mixed short-chain fatty acids were less than or equal to 0.25 mmol/L, indicating no inhibitory effect on the proliferation of γδT cells. ELISA and RT-qPCR showed that the treatment of γδT cells with sodium propionate, sodium butyrate, and mixed short-chain fatty acids significantly decreased the levels of IL-17A compared with the control group. Flow cytometry revealed a significant decrease in the proportion of IL-17+γδT cells under the treatment of sodium propionate, sodium butyrate, mixed shortchain fatty acids, and TSA intervention. Western blot found that sodium propionate, sodium butyrate, and mixed shortchain fatty acids could inhibit the expression of IL-17A and IKK, as well as the phosphorylation level of NF-κB. Conclusion Shortchain fatty acids could inhibit the activation of IL-17A and NF-κB signaling pathway in γδT cells, thereby alleviating the inflammatory response in the body.

Key words: short-chain fatty acids, γδT cell, IL-17A, NF-κB

CLC Number: