The Journal of Practical Medicine ›› 2024, Vol. 40 ›› Issue (7): 955-961.doi: 10.3969/j.issn.1006-5725.2024.07.013
• Clinical Research • Previous Articles Next Articles
Futao DANG1,Yingmei TANG1(),Haiyan FU1,Huanlong LI2,Jiamin XU1,Xu. TAN1
Received:
2023-10-11
Online:
2024-04-10
Published:
2024-04-08
Contact:
Yingmei TANG
E-mail:tangyingmei_med@ kmmu.edu.cn;tangyingmei_med@kmmu.edu.cn
CLC Number:
Futao DANG,Yingmei TANG,Haiyan FU,Huanlong LI,Jiamin XU,Xu. TAN. The efficacy of artificial (nonbiological) extracorporeal liver support system for primary biliary cholangitis and the effect of this therapy on prognosis[J]. The Journal of Practical Medicine, 2024, 40(7): 955-961.
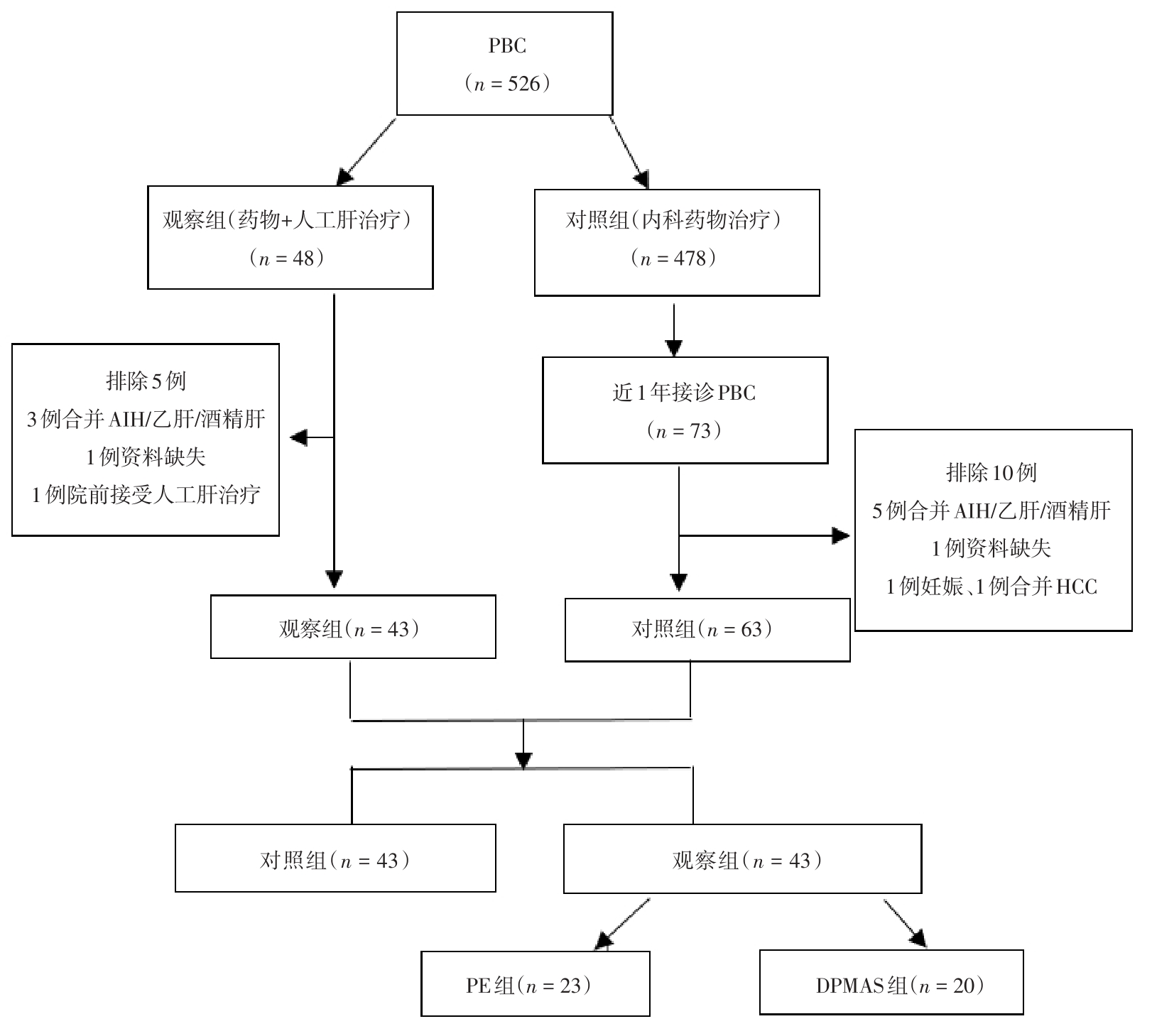
Tab.1
Comparison of clinical symptom improvement rate between the two groups after treatment"
对照组 | 观察组 | χ2值 | P值 | ||||||
---|---|---|---|---|---|---|---|---|---|
治疗前 | 治疗后 | 好转率(%) | 治疗前 | 治疗后 | 好转率(%) | ||||
疲劳 | 38 | 12 | 68.4 | 36 | 11 | 69.4 | 0.009 | 0.924 | |
瘙痒 | 9 | 4 | 55.6 | 11 | 4 | 63.6 | 0.135 | 0.714 | |
腹痛 | 11 | 5 | 54.5 | 14 | 5 | 64.3 | 0.244 | 0.622 | |
腹胀 | 29 | 11 | 62.1 | 25 | 8 | 68.0 | 0.207 | 0.649 | |
纳差 | 30 | 9 | 70.0 | 31 | 8 | 74.2 | 0.133 | 0.715 | |
黄疸 | 33 | 15 | 54.5 | 39 | 14 | 64.1 | 0.679 | 0.410 |
1 |
HIRSCHFIELD G M , DYSON J K , ALEXANDER G J M , et al .The British Society of Gastroenterology/UK-PBC primary biliary cholangitis treatment and management guidelines [J].Gut, 2018, 67(9):1568-1594. doi:10.1136/gutjnl-2017-315259
doi: 10.1136/gutjnl-2017-315259 |
2 |
YANG L , WU T , LI J , et al . Chinese Group on the Study of Severe Hepatitis B. Artificial liver treatment improves survival in patients with hepatitis B virus-related acute-on-chronic liver failure: A case-control matched analysis[J]. Hepatol Res, 2020, 50(6):656-670. doi:10.1111/hepr.13497
doi: 10.1111/hepr.13497 |
3 |
REBAHI H , STILL M E , ADIB A R EL . A successful use of therapeutic plasma exchange in a fulminant form of acute fatty liver of pregnancy[J]. Gynecol Obstet Hum Reprod, 2019, 48(2):133-137. doi:10.1016/j.jogoh.2018.10.001
doi: 10.1016/j.jogoh.2018.10.001 |
4 |
LIU C T , CHEN T H , CHENG C Y . Successful treatment of drug-induced acute liver failure with high-volume plasma exchange[J]. Clin Apher, 2013, 28(6):430-434. doi:10.1002/jca.21291
doi: 10.1002/jca.21291 |
5 |
TURNBERG L A , MAHONEY M P , GLEESON M H , et al . Plasmaphoresis and plasma exchange in the treatment of hyperlipaemia and xanthomatous neuropathy in patients with primary biliary cirrhosis[J]. GUT, 1972,13(12): 976-981. doi:10.1136/gut.13.12.976
doi: 10.1136/gut.13.12.976 |
6 |
COHEN L B , AMBINDER E P , WOLKE A M , et al . Role of plasmapheresis in primary biliary cirrhosis[J]. GUT, 1985,26 (3): 291-294. doi:10.1136/gut.26.3.291
doi: 10.1136/gut.26.3.291 |
7 |
周明,应美爱,潘健,等 . 血浆置换治疗原发性胆汁性肝硬化1例[J]. 临床输血与检验, 2015,17(2):176-177. doi:10.3969/j.issn.1671-2587.2015.02.031
doi: 10.3969/j.issn.1671-2587.2015.02.031 |
8 | 李亚峰,王树亚,李平 . 血浆置换治疗失代偿期原发性胆汁性肝硬化1例[J]. 江苏医药, 2018,44(4):477-478. |
9 |
MULLHAUPT B , KULLAK-UBLICK G A , AMBÜHL P M , et al . Successful use of the Molecular Adsorbent Recirculating System (MARS) in a patient with primary biliary cirrhosis (PBC) and treatment refractory pruritus[J]. Hepatol Res, 2003,25 (4): 442-446. doi:10.1016/s1386-6346(02)00310-8
doi: 10.1016/s1386-6346(02)00310-8 |
10 |
PARÉS A , HERRERA M , AVILÉS J , et al . Treatment of resistant pruritus from cholestasis with albumin dialysis: combined analysis of patients from three centers[J]. J Hepatol, 2010,53 (2): 307-312. doi:10.1016/j.jhep.2010.02.031
doi: 10.1016/j.jhep.2010.02.031 |
11 |
LINDOR K D , BOWLUS C L , BOYER J , et al . Primary Biliary Cholangitis: 2018 Practice Guidance from the American Association for the Study of Liver Diseases[J]. Hepatology, 2019,69(1):394-419. doi:10.1002/hep.30145
doi: 10.1002/hep.30145 |
12 |
European Association for the study of the liver . EASL Clinical Practice Guidelines: The diagnosis and management of patients with primary biliary chol angitis[J]. J Hepatol, 2017,67(1):145-172. doi:10.1016/j.jhep.2017.03.022
doi: 10.1016/j.jhep.2017.03.022 |
13 | 中华医学会感染病学分会肝衰竭与人工肝学组 . 非生物型人工肝治疗肝衰竭指南(2016 年版)[J]. 中华临床感染病杂志,2016,9(2):97-103. |
14 | JANMOHAMED A , TRIVEDI P J . Patterns of disease progression and incidence of complications in primary biliary cholangitis (PBC)[J]. Best Pract Res Clin Gastroenterol, 2018,34(35):71-83. |
15 |
RNOLFSSON K T , LUND S H , OLAFSSON S , et al . Biochemical response to ursodeoxycholic acid among PBC patients: a nationwide population-based study[J]. Scand J Gastroenterol,2019, 54(5):609-616. doi:10.1080/00365521.2019.1606931
doi: 10.1080/00365521.2019.1606931 |
16 |
ICHIKAWA T , SATO H , KAIRA K , et al . Prolonged intrahepatic cholestasis after exposure to loxoprofen[J]. Clin Ther,2008, 30(12): 2402-2406. doi:10.1016/j.clinthera.2008.12.012
doi: 10.1016/j.clinthera.2008.12.012 |
17 |
PUSL T , DENK G U , PARHOFER K G , et al . Plasma separation and anion adsorption transiently relieve intractable pruritus in primary biliary cirrhosis[J]. J Hepatol, 2006,45(6):887-891. doi:10.1016/j.jhep.2006.08.008
doi: 10.1016/j.jhep.2006.08.008 |
18 | WUNSCH E , KRUK B , SNARSKI E , et al . Plasmapheresis in the treatment of chronic fatigue in patients with primary biliary cholangitis[J]. Pol Arch Intern Med, 2021,131(2):205-207. |
19 |
CHEN J J , HUANG J R , YANG Q , et al .Plasma exchange-centered artificial liver support system in hepatitis B virus-related acute-on-chroni c liver failure: a nationwide prospective multicenter study in China[J]. Hepatobiliary Pancreat Dis Int, 2016, 15(3):275-281. doi:10.1016/s1499-3872(16)60084-x
doi: 10.1016/s1499-3872(16)60084-x |
20 |
GUO X , WU F , GUO W ,et al . Comparison of plasma exchange, double plasma molecular adsorption system, and their combination in treating acute-on-chronic liver failure[J]. J Int Med Res,2020, 48(6):300060520932053. doi:10.1177/0300060520932053
doi: 10.1177/0300060520932053 |
21 |
MAO W , YE B , LIN S , et al . Prediction value of model for end-stage liver disease scoring system on prognosis in the acute on chr onic liver failure patients with plasma exchange treatment[J].Asaio J, 2010, 56(5):475-478. doi:10.1097/mat.0b013e3181e6bf13
doi: 10.1097/mat.0b013e3181e6bf13 |
22 |
SHEN Y , WANG X L , WANG B , et al . Survival Benefits With Artificial Liver Support System for Acute-on-Chronic Liver Failure: A Time Ser ies-Based Meta-Analysis[J]. Medicine (Baltimore), 2016, 95(3):e2506. doi:10.1097/md.0000000000002506
doi: 10.1097/md.0000000000002506 |
23 |
党富涛,唐映梅,谭绪,等 . 原发性胆汁性胆管炎患者中人工肝支持系统的应用[J]. 实用医学杂志, 2020,36(22):3153-3156. doi:10.3969/j.issn.1006-5725.2020.22.025
doi: 10.3969/j.issn.1006-5725.2020.22.025 |
[1] | Xiaomei CHEN,Anqi WANG,Jizhen YANG,Miao YU. Prognosis and immune correlation analysis of m1A/m5C/m6A/m7G regulated genes in gastric cancer [J]. The Journal of Practical Medicine, 2024, 40(9): 1230-1237. |
[2] | Shihe XIAO,Gang LI,Zhonghai LIU,Zhen. LIU. Expression of ZEB2 and CCL20 in glioma tissue and their correlation with prognosis [J]. The Journal of Practical Medicine, 2024, 40(9): 1262-1267. |
[3] | Xiya MA,Hu JI,Zehua ZHU,Bo PAN,Qiang XIE,Xiaobo. YAO. The predictive value of 18F⁃FDG PET/CT metabolic heterogeneity parameters combined with clinical features for the prognosis of esophageal squamous cell carcinoma before definitive radiochemotherapy [J]. The Journal of Practical Medicine, 2024, 40(7): 966-971. |
[4] | Kuihong CHENG,Gang ZHAO,Xiwu ZHANG,Zhuang CHEN,Che JIANG,Xiaona WU,Gaoquan LUO,Chengshu. XU. Analysis of the efficacy of flow diverter device and traditional stent in the treatment of unruptured ophthalmic segment aneurysms [J]. The Journal of Practical Medicine, 2024, 40(7): 979-983. |
[5] | Yuxin CHENG,Liang LIU,Shiyu DONG,Shengchao LI,Meng ZHANG. Research advances in exosomal proteins, mRNA and non⁃coding RNA regulation of Hepatocellular Carcinoma [J]. The Journal of Practical Medicine, 2024, 40(6): 748-755. |
[6] | Sibo LONG,Yan CHEN,Xintong ZHANG,Yanjun YIN,Limei YANG,Maike ZHENG,Chaohong WANG,Qing SUN,Jun YAN,Yiheng SHI,Guangli SHI,Yan ZHAO,Guirong. WANG. Serum levels of procalcitonin, interleukin⁃6 and interleukin⁃8 in patients with COVID⁃19 infection at admission and their significance in patient prognosis [J]. The Journal of Practical Medicine, 2024, 40(4): 471-475. |
[7] | Zixu SONG,Guangzheng ZHU,Chenxu GUO,Jiaqi WU,Ligong ZHANG,Jun. QIAN. Expression of SLC35A2 and PFDN2 in breast cancer and its relationship with clinical observables and prognosis [J]. The Journal of Practical Medicine, 2024, 40(4): 496-502. |
[8] | Yanhong NING,Yuanshan XU,Xiaohua LI,Shihua LI,Zhenhua YANG,Yunhua LIAO,Ling. PAN. An observational study on the treatment of chronic kidney disease stage 5 with resistant hypertension with sacubitril/valsartan [J]. The Journal of Practical Medicine, 2024, 40(4): 543-548. |
[9] | Yichen WANG,Yanwen YAN,Meihui SONG,Xiangjun XUE,Wenguang ZHOU,Yuquan LI,Ling QI,Guanghua LI,Xiangzong ZENG. Clinical significance of HOXB4 gene expression levels in myelodysplastic syndromes [J]. The Journal of Practical Medicine, 2024, 40(3): 321-325. |
[10] | Jia CUI,Mingming ZHANG,Na WANG,Wei GAO,Fei LI. Correlation analysis of glucose and lipid metabolism indicators combined with antiphospholipid antibodies on prognosis of patients with atherosclerosis [J]. The Journal of Practical Medicine, 2024, 40(3): 326-329. |
[11] | Shuang CHEN,Na YANG,Yudong HUANG,Xiangfeng KONG,Jintao LI,Yizhong TANG,Kexiong MA,Yangyang ZHANG,Yuandong ZHANG,Chengde REN. Relationship between serum miR-21 and miR-27b levels and prognosis of patients with renal clear cell carcinoma [J]. The Journal of Practical Medicine, 2024, 40(3): 343-348. |
[12] | Jian ZHAO,Songjie LIU,Guanchao ZHANG,Yuhou SHEN,Fengchen LI,Bing XU. Expression of CENPF and miR⁃1⁃3p in the serum of patients with advanced gastric cancer and their correlation with prognosis [J]. The Journal of Practical Medicine, 2024, 40(3): 365-370. |
[13] | Zhijie XIA,Jun LI,Qian GAO,Zhicheng LI,Zhongfang. XIA. Effect and prognosis of preauricular fistula treated by double⁃incision tunnel combined with preauricular tissue and cartilage resection [J]. The Journal of Practical Medicine, 2024, 40(22): 3179-3183. |
[14] | Chengcai DAI,Zhenxing CHENG,Qianqian TU. The prognostic value of serum cystatin C combined with bedside renal ultrasound in patients with sepsis⁃induced acute kidney injury [J]. The Journal of Practical Medicine, 2024, 40(22): 3226-3231. |
[15] | Kaiyang WANG,Jing TAO,Tingting WU,Jiahui YONG,Guoqing LI,Xiang XIE,Yining. YANG. Correlation of novel anthropometric indicators with long⁃term prognosis in patients with acute myocardial infarction [J]. The Journal of Practical Medicine, 2024, 40(21): 3040-3046. |
Viewed | ||||||
Full text |
|
|||||
Abstract |
|
|||||