实用医学杂志 ›› 2025, Vol. 41 ›› Issue (3): 409-413.doi: 10.3969/j.issn.1006-5725.2025.03.016
• 医学检查与临床诊断 • 上一篇
Danping WANG1,Yufeng CAI2,Dehua HU2,Liang. ZHANG1()
摘要:
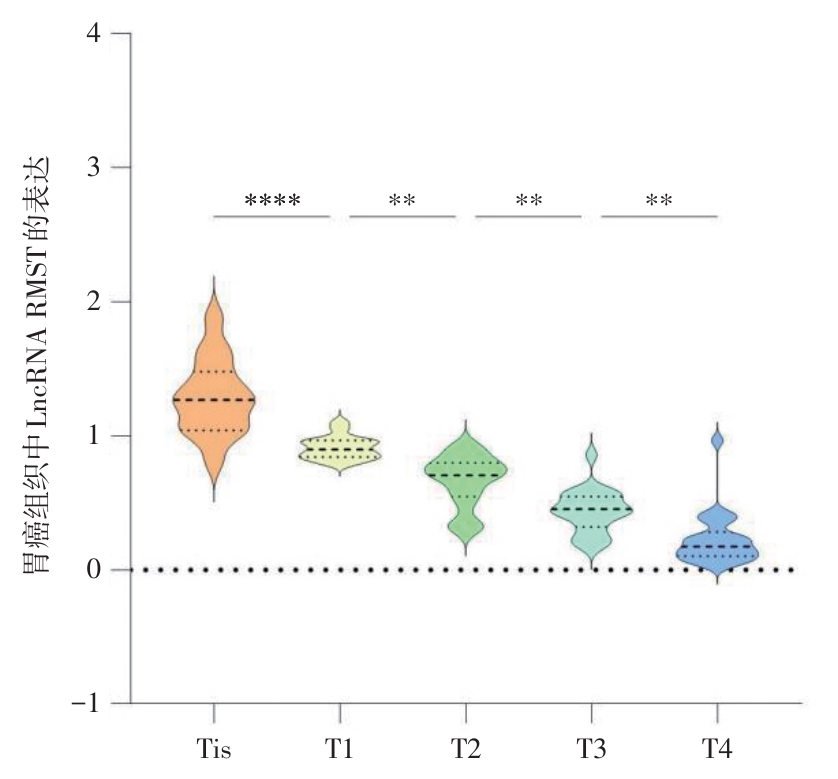
目的 探索长链非编码RNA(LncRNA)横纹肌肉瘤相关转录物-2(RMST)在胃癌中的表达和在诊断及预后中的价值。 方法 收集分析92例胃癌患者的肿瘤组织和相邻正常组织,通过反转录定量聚合酶链反应检测这些组织中LncRNA RMST的表达。采用受试者工作特征曲线分析评估LncRNA RMST对胃癌的诊断价值。绘制生存曲线评估LncRNA RMST在胃癌预后中的价值。 结果 LncRNA RMST在胃癌组织中的表达显著低于正常组织。进一步分析发现,LncRNA RMST的表达水平随胃癌分期的增加逐渐下降,并且与肿瘤最大径、TNM分期及淋巴结转移显著相关(P < 0.05),而与患者的年龄和性别无关。ROC曲线分析显示LncRNA RMST在胃癌的诊断中具有较高的价值,曲线下面积为0.76(95%CI:0.69 ~ 0.83,P < 0.01),敏感度和特异度分别为70.31%和71.56%。生存分析表明,LncRNA RMST高表达的患者总体生存率显著高于低表达患者。 结论 LncRNA RMST在胃癌的发生、进展和预后中具有重要作用,可能作为胃癌诊断和预后的潜在生物标志物,为临床筛查和治疗提供新的思路。
中图分类号: