实用医学杂志 ›› 2025, Vol. 41 ›› Issue (3): 379-384.doi: 10.3969/j.issn.1006-5725.2025.03.011
• 临床研究 • 上一篇
翟一阳,马韵翼,翟俊英,钮红丽,王颖
Yiyang ZHAI,Yunyi MA,Junying ZHAI,Hongli NIU,Ying. WANG
摘要:
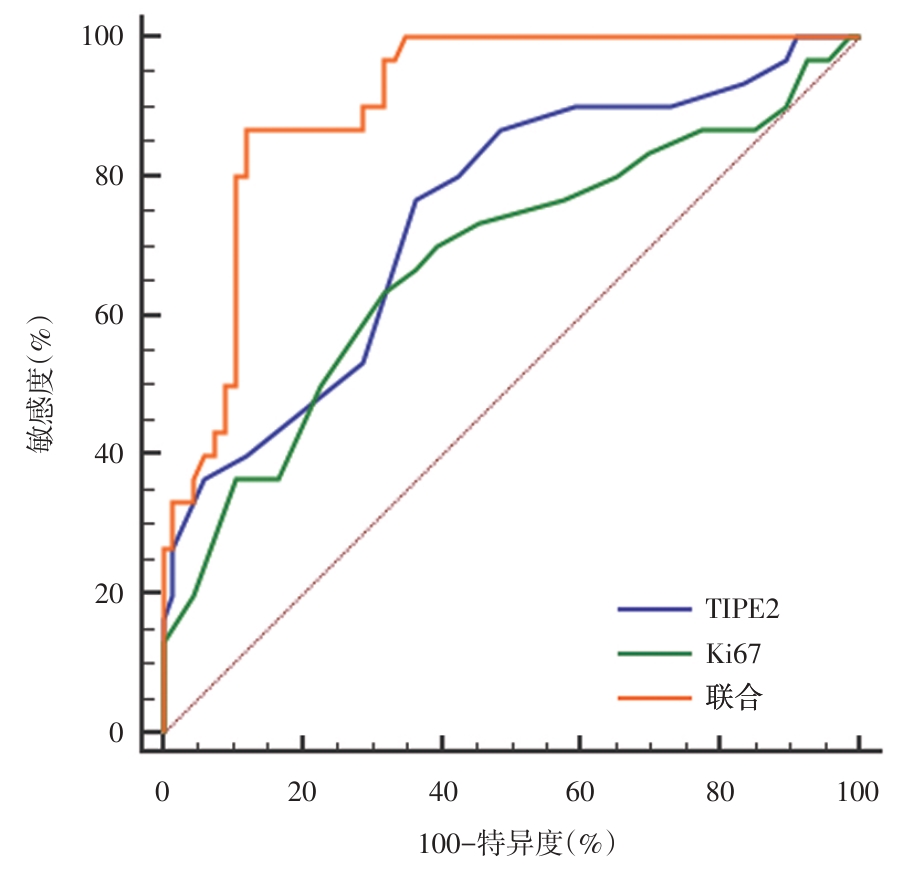
目的 分析子宫内膜癌(EC)组织肿瘤坏死因子α诱导蛋白8家族成员2(TIPE2)、细胞增殖核抗原(Ki67)表达水平及与临床病理参数和预后的关系。 方法 回顾性收集2020年2月至2022年2月我院收治的、行手术切除的96例EC患者、120例因子宫肌瘤行子宫全切患者及120例行全子宫切除或刮宫患者的组织标本及临床资料为研究对象,分为EC组、正常子宫内膜组和不典型增生子宫内膜组,三组均随访至2023年3月28日。免疫组化法检测三组组织标本中TIPE2、Ki67表达水平,分析TIPE2、Ki67表达水平与EC组临床病理参数及预后的关系,并用受试者工作特征曲线(ROC)分析其对不良预后的诊断价值。 结果 EC组患者癌组织TIPE2、Ki67表达水平高于正常子宫内膜组和不典型增生子宫内膜组,且不典型增生子宫内膜组高于正常子宫内膜组(P < 0.05);EC组织TIPE2、Ki67表达水平在FIGO手术病理分期为Ⅲ期、淋巴结有转移患者中高于Ⅱ期、淋巴结无转移患者(P < 0.05),EC组织TIPE2表达水平在Ⅱ期、绝经及ER、PR阴性患者中高于Ⅰ期、未绝经及ER、PR阳性患者(P < 0.05);EC组织Ki67表达水平在p53阳性患者中高于p53阴性患者(P < 0.05),且EC组织TIPE2、Ki67表达水平之间呈正相关(r = 0.569,P < 0.05)。与不良预后组相比,良好预后组EC组织TIPE2、Ki67表达水平下调(P < 0.05),且TIPE2、Ki67表达水平联合检测的AUC值为0.905显著大于单一检测的AUC(P < 0.05),敏感度为86.67%,特异度为87.88%,预测价值较高。 结论 EC组织中TIPE2、Ki67呈高表达水平,两者之间具有正相关性,其高表达与临床病理特征相关,且两者联合检测对EC不良预后具有较高的预测价值。
中图分类号: