实用医学杂志 ›› 2025, Vol. 41 ›› Issue (2): 258-263.doi: 10.3969/j.issn.1006-5725.2025.02.016

• 医学检查与临床诊断 • 上一篇    

血浆PPARγ作为女性间质性膀胱炎/膀胱疼痛综合征潜在诊断标志物的评估及其预测价值

王照,左解鹏,车航,任凌云,徐哲,王磊()   

  1. 河北医科大学第一医院泌尿外科 (河北 石家庄 050000 )
  • 收稿日期:2024-08-01 出版日期:2025-01-25 发布日期:2025-01-26
  • 通讯作者: 王磊 E-mail:wzhusevip83@163.com
  • 基金资助:
    河北省卫健委医学科学研究课题计划(20241597)

Evaluation of plasma PPARγ as a potential diagnostic marker for female interstitial cystitis/painful bladder syndrome and its predictive model

Zhao WANG,Jiepeng ZUO,Hang CHE,Lingyun REN,Zhe XU,Lei. WANG()   

  1. Department of Urology,First Hospital of Hebei Medical University,Shijiazhuang 050000,Hebei,China
  • Received:2024-08-01 Online:2025-01-25 Published:2025-01-26
  • Contact: Lei. WANG E-mail:wzhusevip83@163.com

摘要:

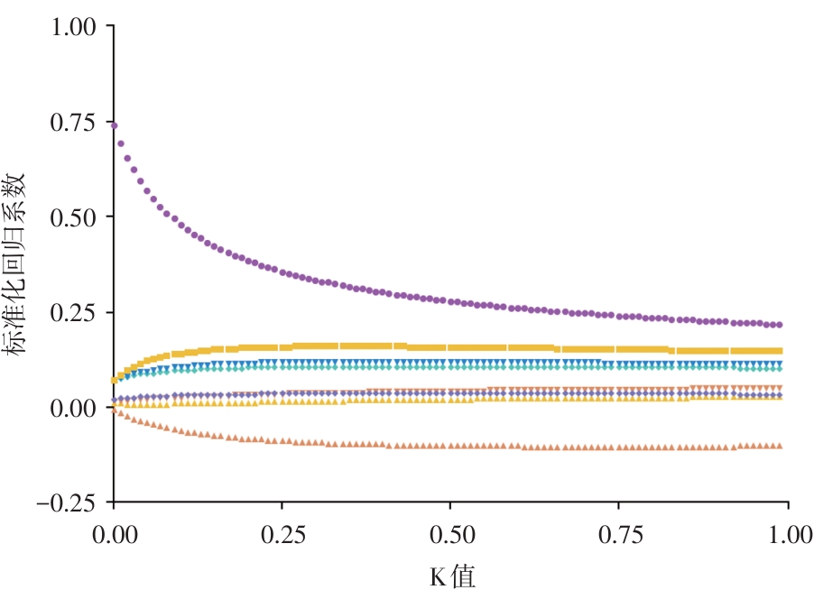
目的 探讨PPARγ与女性间质性膀胱炎/膀胱疼痛综合征(IC/BPS)的相关性,并构建预测模型。 方法 收集2022年6月至2023年12月医院收治的89例女性IC/BPS患者(观察组)和同期90例健康女性体检志愿者(对照组)的临床资料。检测血浆炎症因子水平、总抗氧化能力(TAC)、总谷胱甘肽(GSH)和丙二醛(MDA)含量以及血浆PPARγ水平;通过LASSO回归筛选显著临床特征,使用多因素二元logistic回归模型进行拟合;通过受试者工作特征(ROC)曲线评估其诊断效能。 结果 与对照组比较,观察组患者的年龄、BMI、NLR、绝对中性粒细胞计数、IFN-α、IL-1β、IL-6、IL-8、TNF-α和CD3+CD4+T表达水平显著升高,而绝对淋巴细胞计数、IL-10、TAC、GSH和血浆PPARγ表达水平显著降低,差异具有统计学意义(均P < 0.05)。LASSO回归筛选出,NLR、IFN-α、绝对中性粒细胞计数、IL-1β、IL-6、TNF-α、CD3+CD4+T及PPARγ共8个自变量进入预测模型。多因素二元logistic回归分析显示,IL-1β、TNF-α和CD3+CD4+T水平升高及PPARγ水平降低是IC/BPS的独立危险因素。ROC曲线结果显示,PPARγ联合临床参数(IL-1β、TNF-α和CD3+CD4+T)的诊断IC/PBS的曲线下面积0.901(95%CI:0.885 ~ 0.963)高于PPARγ单一指标诊断[0.839(95%CI:0.730 ~ 0.902)]效能(AUC = 0.901)优于单独PPARγ(AUC = 0.839)。 结论 IC/BPS女性患者血浆PPARγ水平明显降低,可作为IC/BPS的潜在诊断标志物,联合临床指标提高诊断效能。

关键词: 间质性膀胱炎/膀胱疼痛综合征, 过氧化物酶体增殖物激活受体γ, 诊断标志物, 预测模型

Abstract:

Objective To investigate the correlation between PPARγ and female interstitial cystitis/bladder pain syndrome (IC/BPS) and to establish a predictive model. Methods Clinical data were collected from 89 female IC/BPS patients (observational group) admitted to the hospital from June 2022 to December 2023, and 90 healthy female volunteers undergoing physical examinations during the same period (control group). Plasma levels of inflammatory factors, total antioxidant capacity (TAC), total glutathione (GSH), malondialdehyde (MDA), and PPARγ levels were measured. Significant clinical features were identified using LASSO regression and fitted into a multivariate logistic regression model. The diagnostic efficacy was assessed through receiver operating characteristic (ROC) curves. Results Compared to the control group, the observation group exhibited significantly elevated age, BMI, NLR, absolute neutrophil count, IFN-α, IL-1β, IL-6, IL-8, TNF-α and CD3+CD4+T expression levels, while absolute lymphocyte count, IL-10, TAC, GSH and plasma PPARγ expression levels were significantly decreased (all P < 0.05). LASSO regression identified 8 variables, including NLR, IFN-α, absolute neutrophil count, IL-1β, IL-6, TNF-α, CD3+CD4+T and PPARγ, which were incorporated into the predictive model. Multivariate binary logistic regression analysis revealed that elevated levels of IL-1β, TNF-α and CD3+CD4+T cells, along with reduced PPARγ levels, were independent risk factors for IC/BPS. ROC curve analysis indicated that the diagnostic efficacy of the combined PPARγ and clinical parameters (age, IL-1β, TNF-α and CD3+CD4+T) (AUC = 0.901) was superior to PPARγ alone (AUC = 0.839). Conclusion Plasma PPARγ levels are significantly reduced in female IC/BPS patients and serve as a potential diagnostic marker, with combined clinical parameters enhancing diagnostic accuracy.

Key words: interstitial cystitis/bladder pain syndrome, PPARγ, diagnostic biomarkers, predictive model

中图分类号: