The Journal of Practical Medicine ›› 2024, Vol. 40 ›› Issue (12): 1651-1658.doi: 10.3969/j.issn.1006-5725.2024.12.007

• Clinical Research • Previous Articles     Next Articles

The role of 3D printing technology in the preoperative interventional endovascular exclusion of Stanford B aortic dissection

Yancun ZHENG1,2,Zhu DONG2,3,Jinli LIN2,3,Xiaowu WANG2,3   

  1. Guangzhou University of Traditional Chinese Medicine,Guangzhou 510006,China;Department of Cardic Surgery,PLR Southern Command General Hospital,Guangzhou 510010,China
  • Received:2023-10-09 Online:2024-06-25 Published:2024-06-14

Abstract:

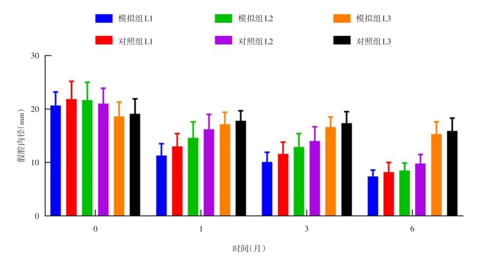
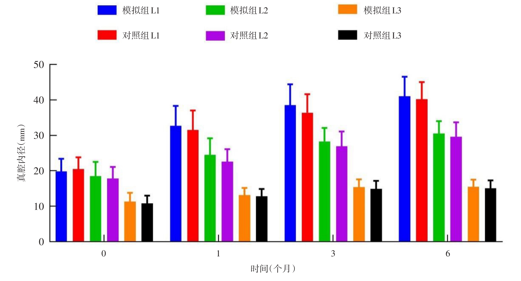
Objective To investigate the role of preoperative 3D printing simulation technology in the interventional endovascular exclusion of Stanford B aortic dissection. Methods A retrospective study protocol was used to select 76 patients with Stanford B-type aortic dissection who underwent endovascular isolation surgery in our hospital from January 2019 to January 2021 in the study. Among them, 40 patients underwent simulated surgery with preoperative 3D printing simulation technology (simulation group) and another 36 patients received conventional endovascular isolation surgery (control group). The two groups were compared in terms of the.cardiac ultrasound indicators, the true and false lumen diameters, and the complication rates of the proximal aortic rupture plane, stent end plane, and abdominal trunk artery plane at different times before and after surgery. Results As compared to the control group, the simulation group showed significantly longer surgical time, extracorporeal circulation time, aortic occlusion time, and ICU stay time (all P < 0.05). After the operation, the true lumen diameter of the proximal aortic rupture plane, stent end plane, and abdominal trunk artery plane were significantly increased in two groups at months 1, 3, and 6 (P < 0.05), but the false lumen diameter of the proximal aortic rupture plane, stent end plane, and abdominal trunk artery plane were significantly decreased (P < 0.05) compared to preoperative levels. The LVEF and FS of the two groups were significantly increased 6 months after surgery (P < 0.05). Conclusion The preoperative 3D printing simulation technology in the interventional endovascular isolation of Stanford B aortic dissection can ensure the surgical effect. It can achieve the same surgical effect as the traditional procedures and importantly it can reduce the difficulty of operation and shorten the operation time.

Key words: 3D printing technology, Stanford B, aortic dissection, interventional therapy, intraluminal isolation surgery, cardiac ultrasound

CLC Number: