实用医学杂志 ›› 2024, Vol. 40 ›› Issue (16): 2291-2297.doi: 10.3969/j.issn.1006-5725.2024.16.015

• 临床研究 • 上一篇    下一篇

可溶性生长刺激表达基因2蛋白对脓毒症相关急性肾损伤的预测价值

蒋伟1,王辉1,黄中伟1,黄新忠2()   

  1. 1.南通大学附属医院,急诊内科,(江苏 南通 226001 )
    2.南通大学附属医院,肾内科,(江苏 南通 226001 )
  • 收稿日期:2024-04-26 出版日期:2024-08-25 发布日期:2024-08-26
  • 通讯作者: 黄新忠 E-mail:huangxz421@126.com
  • 基金资助:
    国家自然科学基金项目(82170750);南通市科技局项目(JCZ2022020)

The predictive value of soluble ST2 in sepsis⁃associated acute kidney injury

Wei JIANG1,Hui WANG1,Zhongwei HUANG1,Xinzhong. HUANG2()   

  1. *.Department of Emergency,Affiliated Hospital of Nantong University,Nantong 226001,China
  • Received:2024-04-26 Online:2024-08-25 Published:2024-08-26
  • Contact: Xinzhong. HUANG E-mail:huangxz421@126.com

摘要:

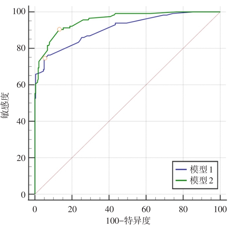
目的 研究可溶性生长刺激表达基因2蛋白(soluble growth?stimulated expressed gene 2 protein, sST2)对脓毒症相关急性肾损伤(sepsis?associated acute kidney injury,SA?AKI)的预测价值。 方法 采用回顾性观察性研究,纳入2020年1月至2023年12月在南通大学附属医院急诊科接受sST2检测的395例脓毒症患者。根据是否发生急性肾损伤(AKI),分为非AKI组(281例)和AKI组(114例)。收集患者入院24 h内的基础临床数据和实验室检查结果,通过受试者工作特征(ROC)曲线分析sST2对SA?AKI的诊断能力,logistic回归评估sST2是否为SA?AKI发生的独立危险因素,通过构建两预测模型,使用ROC曲线下面积(AUC)、净重新分类指数(NRI)、综合判别改善指数(IDI)评估sST2的加入对模型预测能力的提升效果。 结果 AKI组患者sST2水平高于非AKI组(P < 0.001)。sST2诊断SA?AKI的AUC为0.839(0.799 ~ 0.874),显著高于其他实验室指标(P < 0.000 1)。sST2 > 85 ng/mL是SA?AKI的独立危险因素(OR = 14.315,95% CI:5.867 ~ 34.926,P < 0.001)。增加sST2显著改善了预测模型的AUC(0.954 vs. 0.909,P < 0.000 1)、NRI(21.48%,95% CI:11.48% ~ 31.49%,P < 0.000 1)及IDI(8.62%,95% CI:5.75% ~ 11.49%,P < 0.000 1)。 结论 血清sST2可能成为潜在的预测脓毒症AKI发生的生物标志物。

关键词: 脓毒症, 急性肾损伤, 可溶性生长刺激表达基因2蛋白, 危险因素, 预测价值

Abstract:

Objective To investigate the predictive value of soluble growth?stimulated expressed gene 2 protein (sST2) in predicting sepsis?associated acute kidney injury (SA?AKI). Methods From January 2020 to December 2023, a total of 395 sepsis patients with sepsis from the Emergency Department, Affiliated Hospital of Nantong University were enrolled in this retrospective observational study. These patients were further categorized into two groups: AKI group (114 cases) and non?AKI group (281 cases). Clinical data and laboratory indicators were collected within 24 hours after admission. ROC curve analysis was used to evaluate the diagnostic ability of sST2 for SA?AKI. Logistic regression analysis was performed to assess independent risk factors for the development of SA?AKI. Concurrently, two predictive models for SA?AKI were constructed, and the predictive ability of sST2 for SA?AKI was assessed using the Area Under the Curve (AUC), the Net Reclassification Index (NRI) and the Integrated Discrimination Improvement (IDI). Results T The levels of sST2 were significantly higher in the AKI group compared to the non?AKI group (P < 0.001). The AUC predicted by sST2 (0.839, 95% CI: 0.799 ~ 0.874) in sepsis patients with AKI was significantly superior to other laboratory indicators (P < 0.000 1). An sST2 concentration greater than 85 ng/mL independently increased the risk for SA?AKI (OR: 14.315, 95% CI: 5.867 ~ 34.926, P < 0.001). Incorporating sST2 into the prediction model substantially improved the AUC values (0.954 vs. 0.909, P < 0.000 1), NRI (21.48%, 95% CI: 11.48% ~ 31.49%, P < 0.000 1) and IDI (8.62%, 95% CI: 5.75% ~ 11.49%, P < 0.000 1). Conclusion sST2 has the potential to serve as a promising biomarker for prognosticating AKI in septic patients.

Key words: sepsis, acute kidney injury, sST2, risk factor, predictive value

中图分类号: