实用医学杂志 ›› 2024, Vol. 40 ›› Issue (8): 1114-1120.doi: 10.3969/j.issn.1006-5725.2024.08.016

• 临床研究 • 上一篇    下一篇

肝硬化2/3级腹水患者短期不良临床结局的影响因素

王晴晴1,丁洁1,李海雯2,董志坚3,王艺颖2,刘思奇1,常国楫1,华丽娟1,陈华憶1,李生浩1(),杨永锐2()   

  1. 1.昆明市第三人民医院,肝病综合科,(昆明 650041 )
    2.昆明市第三人民医院,科教学术部,(昆明 650041 )
    3.昆明市第三人民医院,超声医学科,(昆明 650041 )
  • 收稿日期:2023-10-10 出版日期:2024-04-25 发布日期:2024-04-19
  • 通讯作者: 李生浩,杨永锐 E-mail:doctorlee3h@163.com;595144613@qq.com
  • 基金资助:
    国家自然科学基金地区科学基金项目(82260408);云南省科技厅科学研究基金项目(2024J0863);昆明市卫健委卫生科研课题重点项目(2022-03-08-005);昆明市科技局社会发展与科技惠民计划项目(2023-1-NS-002)

Analysis of factors influencing short⁃term adverse clinical outcome in cirrhotic patients with grade 2/3 ascites

Qingqing WANG1,Jie DING1,Haiwen LI2,Zhijian DONG3,Yiying WANG2,Siqi LIU1,Guoji CHANG1,Lijuan HUA1,Huayi CHEN1,Shenghao LI1(),Yongrui. YANG2()   

  1. *.Department of Hepatopathy,the Third People's Hospital of Kunming Disease of Yunnan Province,Kunming 650041,China
  • Received:2023-10-10 Online:2024-04-25 Published:2024-04-19
  • Contact: Shenghao LI,Yongrui. YANG E-mail:doctorlee3h@163.com;595144613@qq.com

摘要:

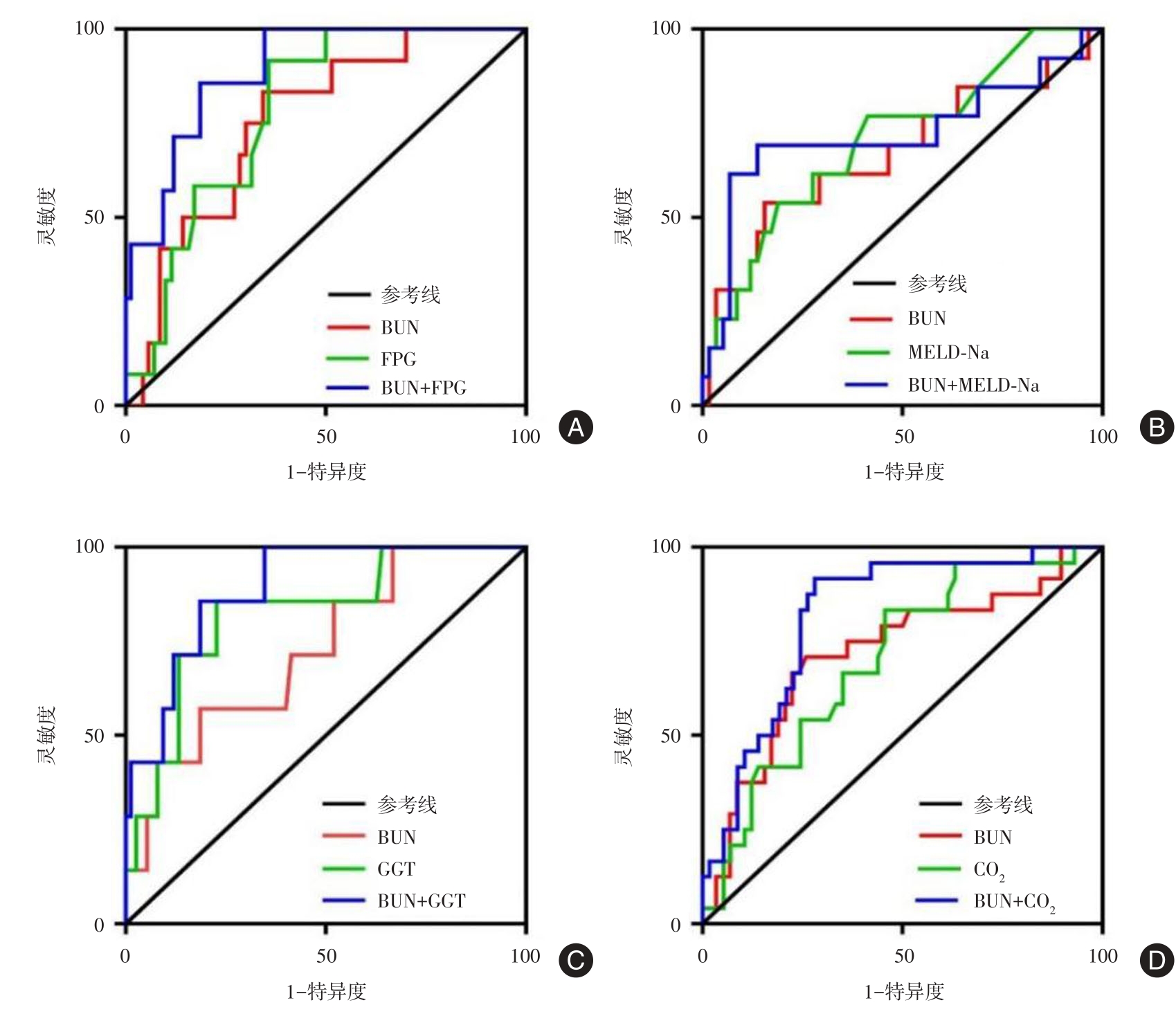
目的 探讨因肝硬化2/3级腹水住院的患者短期不良临床结局的影响因素。 方法 以昆明市第三人民医院2021年12月至2023年2月期间82例因肝硬化2/3级腹水住院的患者为研究对象,收集人口统计学及入院首次临床资料,随访患者入院后90 d内临床转归情况,包括住院时间超过28 d、距入院28 d内非计划再住院、90 d内病死(含28 d内病死),进行相应分组后通过单因素筛查、二元logistic回归分析探索上述不良临床结局的影响因素,最后用受试者工作(receiver operating characteristic curve, ROC)曲线,判断其影响因素的诊断效能。 结果 (1)MELD-Na(model for end-stage liver disease-sodium, MELD-Na)评分(OR = 1.087, 95%CI: 1.006 ~ 1.175)和r-谷氨酰基转肽酶(gamma glutamyl transferase, GGT)(OR = 1.004, 95%CI: 1.002 ~ 1.007)分别是住院时间超过28 d、距入院28 d内非计划再住院和28 d内病死的独立危险因素(P < 0.05);血尿素氮(blood urea nitrogen, BUN)同是上述3种情况的独立危险因素,OR分别为1.111(95% CI: 1.005 ~ 1.227)、1.115(95%CI: 1.003 ~ 1.214)和1.208(95%CI: 1.057 ~ 1.382)(P < 0.05);(2)低水平血清氯(chloride, Cl)离子(OR = 0.875, 95%CI: 0.802 ~ 0.954)和低水平二氧化碳(carbon dioxide, CO2)(OR = 0.821, 95%CI: 0.690 ~ 0.976)是90 d内病死的危险因素(P < 0.05);(3)BUN联合GGT预测28 d内病死的ROC曲线下面积(area under the curve, AUC)为0.891;血清氯离子联合总CO2预测90 d内病死的曲线下面积为0.821。 结论 BUN联合GGT对28 d内病死、血清氯离子联合总CO2对90 d内病死均具有较好的预测价值。

关键词: 肝硬化腹水, 尿素氮, 血清氯离子, 总二氧化碳, 危险因素

Abstract:

Objective To explore the factors influencing the short?term adverse clinical outcome in patients hospitalized with grade 2/3 cirrhosis ascites. Methods 82 patients with grade 2/3 cirrhosis ascites in Kunming Third People's Hospital from December 2021 to February 2023 were used as research objects. Demographic data and first clinical data were collected. The clinical outcomes of the patients within 90 days after admission were followed up. Influencing factors of adverse clinical outcome were investigated by single factor screening and binary logistic regression analysis, including hospitalization over 28 days, unplanned readmission within 28 days, and death within 90 days (including death within 28 days). Finally, the diagnostic efficacy of the influencing factors were judged by ROC curve. Results (1)MELD?Na score (OR = 1.087, 95%CI: 1.006 ~ 1.175) and GGT (OR = 1.004, 95%CI: 1.002 ~ 1.007) were independent risk factors for hospitalization longer then 28 days, unplanned readmission within 28 days of admission and death within 28 days, respectively, all P < 0.05. BUN was an independent risk factor for all three conditions, with an OR of 1.111 (95% CI: 1.005 ~ 1.227), 1.115 (95%CI: 1.003 ~ 1.214) and 1.208 (95%CI: 1.057 ~ 1.382), all P < 0.05. (2)low serum chloride (OR = 0.875, 95%CI: 0.802 ~ 0.954) and low total CO2OR = 0.821, 95%CI: 0.690 ~ 0.976) were independent riak factors for death within 90 days, all P < 0.05. (3)The area under ROC curve of BUN combined with GGT predicted death within 28 days was 0.891; The area under curve of serum chloride combined with total CO2 predicted death within 90 days was 0.821, P < 0.05. Conclusion BUN combined with GGT had better predictive value for death within 28 days, serum chloride combined with total CO2 had better predictive value for death within 90 days.

Key words: cirrhosis ascites, blood urea nitrogen, serum chloride, total carbon dioxide, risk factors

中图分类号: