实用医学杂志 ›› 2023, Vol. 39 ›› Issue (22): 2872-2877.doi: 10.3969/j.issn.1006-5725.2023.22.003

• 专题报道:乳腺肿瘤 • 上一篇    下一篇

乳腺癌患者外周血中颗粒酶B和穿孔素的表达及意义

庄赵为1,袁武梅1,任作东1,李上飞2,陈明贵2,曾妍1,2()   

  1. 1.石河子大学医学院新疆地方与民族高发病教育部重点实验室 (新疆 石河子 832002 )
    2.广东医科大学附属湛江中心医院精准医学检验实验室 (广东 湛江 524037 )
  • 收稿日期:2023-07-17 出版日期:2023-11-25 发布日期:2023-12-11
  • 通讯作者: 曾妍 E-mail:yzeng910@163.com
  • 基金资助:
    国家自然科学基金项目(81560473);湛江市科技计划项目(2021A05155)

Expression and significance of granzyme B and perforin in peripheral blood of patients with breast cancer

Zhaowei ZHUANG1,Wumei YUAN1,Zuodong REN1,Shangfei LI2,Minggui CHEN2,Yan. ZENG1,2()   

  1. *.Key Laboratory of Xinjiang Endemic and Ethnic Disease,School of Medicine,Shihezi University,Shihezi 832002,China
  • Received:2023-07-17 Online:2023-11-25 Published:2023-12-11
  • Contact: Yan. ZENG E-mail:yzeng910@163.com

摘要:

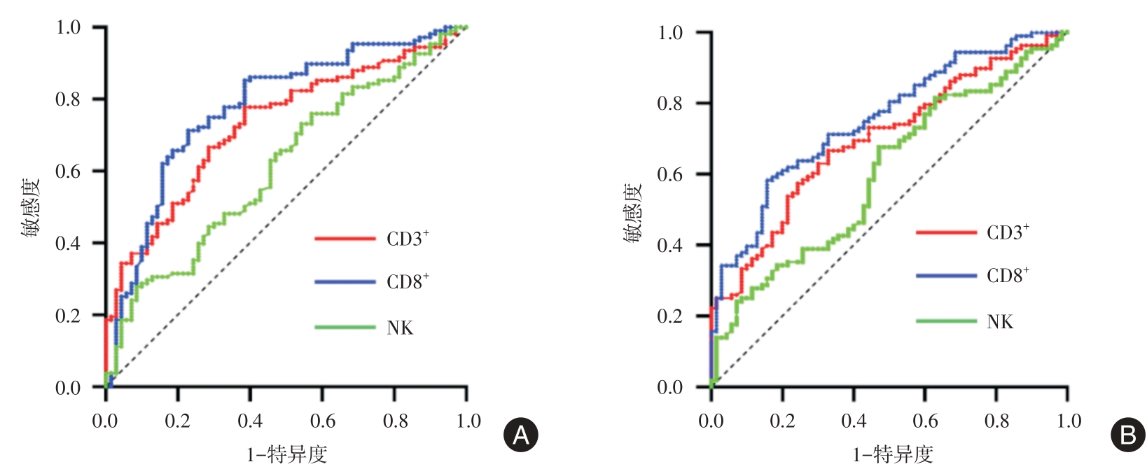
目的 分析乳腺癌患者外周血T淋巴细胞及NK细胞中颗粒酶B和穿孔素的表达对乳腺癌的诊断价值,明确颗粒酶B和穿孔素的表达与乳腺癌分子分型、肿瘤分期等临床病理特征的相关性及其对乳腺癌治疗效果的评价。 方法 应用流式细胞术检测108例乳腺癌和70例乳腺良性疾病患者样本中CD3+T细胞、CD8+T细胞及NK细胞中颗粒酶B和穿孔素的表达;采用受试者工作特征(ROC)曲线评估各指标对乳腺癌的诊断效能,比较不同临床病理特征乳腺癌患者颗粒酶B和穿孔素的表达及治疗前后各指标的变化。 结果 乳腺癌患者T淋巴细胞亚群与NK细胞中颗粒酶B和穿孔素表达均高于对照组,差异均有统计学意义(P < 0.05)。ROC曲线分析结果显示,CD3+T细胞、CD8+T细胞及NK细胞中颗粒酶B和穿孔素阳性率的曲线下面积(AUC)大于0.5。CD3+T细胞中颗粒酶B和穿孔素的表达与乳腺癌肿瘤大小及临床分期呈正相关(P < 0.05),CD8+T细胞中颗粒酶B也与乳腺癌肿瘤大小及临床分期呈正相关(P < 0.05)。乳腺癌患者淋巴结转移组中CD3+T细胞中颗粒酶B和穿孔素表达明显高于无淋巴结转移组(P < 0.05)。乳腺癌患者治疗后外周血T淋巴细胞中颗粒酶B和穿孔素表达高于治疗前(P < 0.05)。 结论 外周血CD3+T细胞、CD8+T细胞和NK细胞中颗粒酶B及穿孔素的表达对于诊断乳腺癌有一定的参考价值,且与肿瘤大小、淋巴结转移及临床分期有关,可辅助临床上乳腺癌的早期筛查、诊断及治疗效果评价。

关键词: 乳腺癌, T淋巴细胞, NK细胞, 颗粒酶B, 穿孔素, 分子分型

Abstract:

Objective To analyze the diagnostic value of the expression of Granzyme B and Perforin in peripheral blood T lymphocytes and NK cells in patients with breast cancer (BC), to investigate the correlation between the expression of granzyme B and perforin and the clinicopathological characteristics of BC, including molecular typing and tumor stage, and the evaluation of the therapeutic effect on BC. Methods Flow cytometry was used to detect the expression of granzyme B and perforin in CD3+T cells, CD8+T cells and NK cells in 108 patients with BC and 70 benign breast disease controls, and to evaluate the diagnostic efficiency of the receiver operating characteristic (ROC) curve of each indicator in BC; to compare the expression of granzyme B and perforin in patients with different clinicopathological characteristics and the changes of various indicators before and after treatment. Results The expressions of granzyme B and perforin in T lymphocyte subsets and NK cells in BC patients were significantly higher than those of the control group (P < 0.05). ROC analysis showed that the area under the curve (AUC) of granzyme B and perforin positive rates in CD3+T cells, CD8+T cells and NK cells was greater than 0.5. The expression of granzyme B and perforin in CD3+T cells was positively correlated with the tumor size and clinical stage of BC (P < 0.05), and granzyme B in CD8+T cells was also positively correlated with the tumor size and clinical stage of BC (P < 0.05). The expression of granzyme B and perforin in CD3+T cells in BC patients with lymph node metastasis was significantly greater than that in BC patients without lymph node metastasis (P < 0.05). The expression of granzyme B and perforin in peripheral blood T lymphocytes in BC patients after treatment was greater than that before treatment (P < 0.05). Conclusion The expression of granzyme B and perforin in CD3+T cells, CD8+T cells and NK cells in peripheral blood has certain reference for the diagnosis of BC, and has correlation with tumor size, lymph node metastasis and clinical stage, which can assist in the early screening, diagnosis and treatment evaluation of BC.

Key words: breast cancer, T lymphocytes, NK cells, granzyme B, perforin, molecular typing

中图分类号: