The Journal of Practical Medicine ›› 2023, Vol. 39 ›› Issue (18): 2300-2305.doi: 10.3969/j.issn.1006-5725.2023.18.003

• Feature Reports:lumbar spine disease • Previous Articles     Next Articles

Establishment of Nomogram prediction model for latent blood loss in patients with lumbar disc herniation after operation

Xiuquan QI,Wei WANG,Xiaokang QIU,Ye. XU   

  1. The First Affiliated Hospital of Nanjing Medical University (Jiangsu Provincial People′s Hospital),Nanjing 210003,China
  • Received:2023-06-12 Online:2023-09-25 Published:2023-10-10

Abstract:

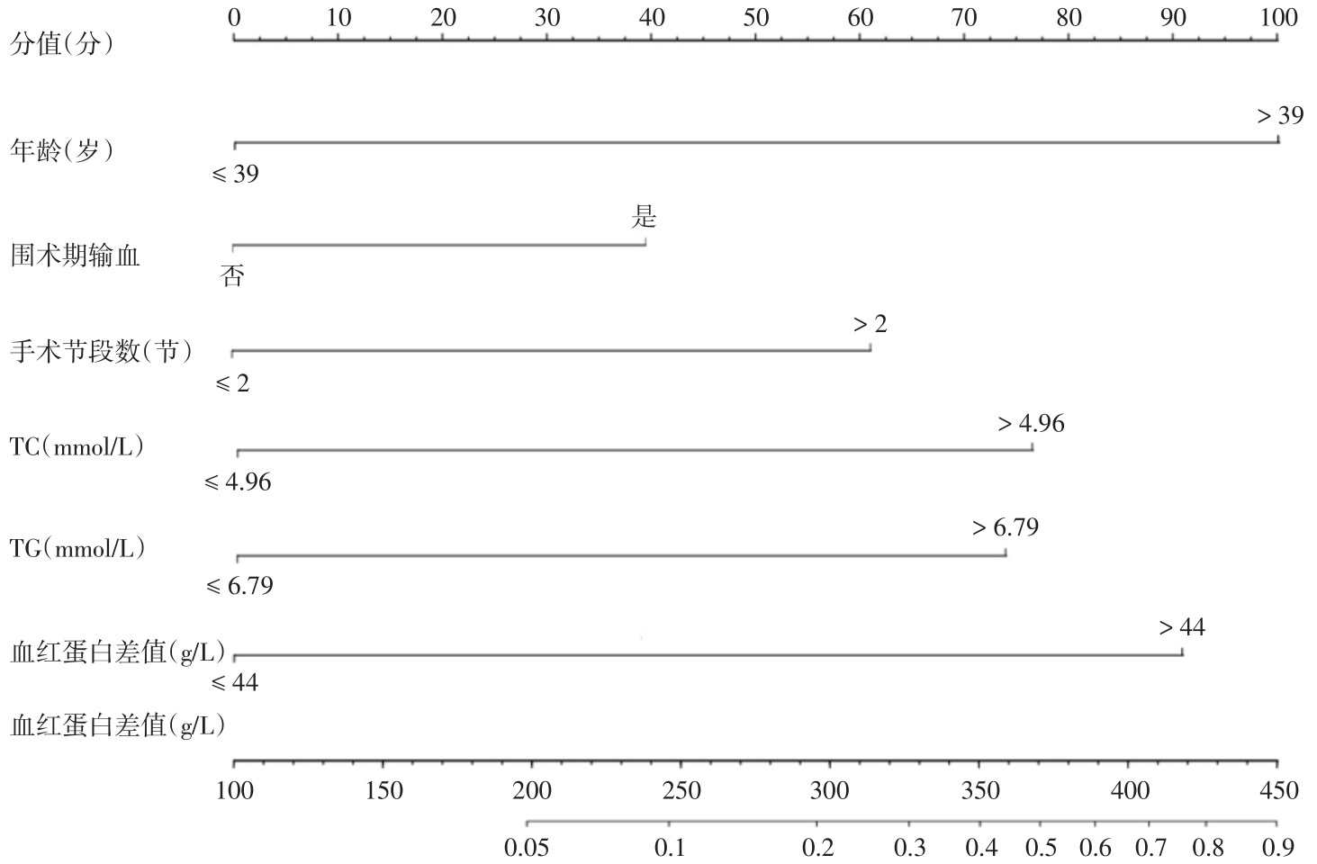
Objective To analyze the risk factors of recessive blood loss in patients with lumbar disc herniation after surgery and establish a nomogram prediction model. Methods Two hundred patients with lumbar disc herniation who came to our hospital from February 2019 to August 2022 were selected as the research objects. According to the recessive blood loss after surgery, the patients were divided into positive group (n = 85) and negative group (n = 115). ROC experiment was used to analyze the predictive value of continuous variables. Logistic regression experiment was used to analyze the risk factors of recessive blood loss in patients with lumbar disc herniation after operation. Internal data were used to verify the clinical efficacy of Nomogram model. Results There was no significant difference in gender, BMI and other general data between the two groups (P > 0.05). Compared with the negative group, the patients in the positive group were older, and they had more perioperative blood transfusions, larger number of surgical segments, higher TC and TG levels, and lower postoperative hemoglobin levels (P < 0.05). The AUCs of age, number of operative segments, TC, TG and postoperative hemoglobin were 0.611, 0.607, 0.602, 0.673, 0.791, respectively, with the optimal cutoff values 39 years, 2 segments, 4.96 mmol/L, 6.79 mmol/L, 107 g/L, respectively. Age (> 39 years), perioperative blood transfusion, number of operative segments (> 2 segments), TC (> 4.96 mmol/L), TG (> 6.79 mmol/L), and hemoglobin difference (> 44 g/L) were all risk factors for recessive blood loss in the patients (P < 0.05). Nomogram model predicted the risk of occult blood loss in the patients after surgery by a C-index of 0.775 (95% CI: 0.669 ~ 0.848), with a risk threshold of recessive blood loss > 0.07. Nomogram model predictively yielded clinical net benefits as well. Conclusion Age (> 39 years), perioperative blood transfusion, number of operative segments (> 2 segments), TC (> 4.96 mmol/L), TG (> 6.79 mmol/L), and hemoglobin difference (> 44 g/L) are all risk factors that affect the occurrence of recessive blood loss in patients with lumbar disc herniation after surgery. Nomogram model based on the above variables can better predict the occurrence of recessive blood loss in those patients.

Key words: lumbar disc herniation, occult blood loss, risk factors, Nomogram prediction model

CLC Number: