实用医学杂志 ›› 2026, Vol. 42 ›› Issue (4): 668-676.doi: 10.3969/j.issn.1006-5725.2026.04.018

• 论著 • 上一篇    

冠状动脉钙化患者主动脉瓣钙化危险因素分析及预测模型构建

程守全1,刘乃丰2(),李若水1   

  1. 1.徐州医科大学附属医院心内科 (江苏 徐州 221000 )
    2.东南大学附属中大医院心内科 (江苏 南京 210009 )
  • 收稿日期:2025-11-20 出版日期:2026-02-25 发布日期:2026-02-25
  • 通讯作者: 刘乃丰 E-mail:tigetige@163.com
  • 基金资助:
    国家自然科学基金项目(82300380);江苏省高水平医院建设项目(GSPJS202517);徐州医科大学附属医院院级科研项目(2021ZA03)

Analysis of risk factors for aortic valve calcification in patients with coronary artery calcification and construction of a predictive model

Shouquan CHENG1,Naifeng LIU2(),Ruoshui LI1   

  1. 1.Department of Cardiology,Affiliated Hospital of Xuzhou Medical University,Xuzhou 221000,Jiangsu,China
    2.Department of Cardiology,Zhongda Hospital Affiliated to Southeast University,Nanjing 210009,Jiangsu,China
  • Received:2025-11-20 Online:2026-02-25 Published:2026-02-25
  • Contact: Naifeng LIU E-mail:tigetige@163.com

摘要:

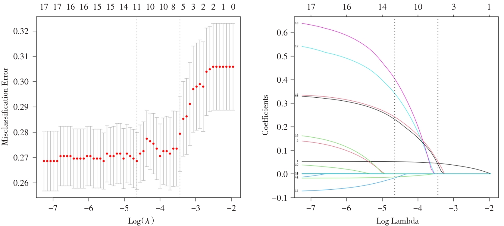
目的 探讨冠状动脉钙化(CAC)患者发生主动脉瓣钙化(AVC)的独立危险因素,并构建临床预测模型,为早期识别高风险患者提供依据。 方法 本研究回顾性纳入2019年1月至2022年9月期间在东南大学附属中大医院接受冠状动脉CT血管成像(CCTA)且CAC积分> 0的住院患者1458例,按7∶3随机分为训练集(n = 1 020)和验证集(n = 438)。通过单因素和多因素logistic回归分析钙化性主动脉瓣疾病(CAVD)的危险因素,本研究采用LASSO回归进行变量筛选,并基于筛选出的变量构建列线图预测模型。通过ROC曲线、校准曲线和决策曲线分析(DCA),分别验证了模型出色的区分能力、预测准确性以及潜在的临床应用价值。 结果 训练集中AVC发生率为30.6%。多因素分析显示,年龄(OR = 1.055,95%CI:1.040 ~ 1.071)、身高(OR = 0.980,95%CI:0.962 ~ 0.997)、右心室舒张末期内径(RVEDd,OR = 1.719,95%CI:1.102 ~ 2.692)及他汀类药物使用(OR = 1.408,95%CI:1.047 ~ 1.899)是AVC的独立预测因素。模型在训练集和验证集中的AUC分别为0.738和0.715,校准曲线显示预测与实际风险高度一致,DCA证实其临床净获益显著。 结论 年龄、身高、RVEDd及他汀类药物使用是CAC患者发生AVC的独立预测因素。基于此构建的列线图模型展现出优异的预测能力,有助于对高危患者进行早期识别与临床管理。

关键词: 冠状动脉钙化, 主动脉瓣钙化, 危险因素, 预测模型, 列线图

Abstract:

Objective To explore the independent risk factors for aortic valve calcification (AVC) in patients with coronary artery calcification (CAC) and construct a clinical predictive model, thereby providing a basis for the early identification of high-risk patients. Methods This study retrospectively incorporated 1458 inpatients who underwent coronary CT angiography (CCTA) at Zhongda Hospital Affiliated to Southeast University from January 2019 to September 2022 and had a CAC score greater than 0. These patients were randomly allocated into a training set (n = 1 020) and a validation set (n = 438) at a ratio of 7:3. The risk factors of calcific aortic valve disease (CAVD) were analyzed via univariate and multivariate logistic regression. In this research, LASSO regression was employed for variable screening, and a nomogram prediction model was developed based on the screened variables. The excellent discriminatory capacity, prediction precision, and potential clinical application value of the model were verified through receiver-operating characteristic (ROC) curve, calibration curve, and decision curve analysis (DCA), respectively. Results The incidence of AVC in the training set was 30.6%. Multivariate analysis indicated that age (OR = 1.055, 95% CI: 1.040 ~ 1.071), height (OR = 0.980, 95% CI: 0.962 ~ 0.997), right ventricular end-diastolic diameter (RVEDd, OR = 1.719, 95% CI: 1.102 ~ 2.692), and statin use (OR = 1.408, 95% CI: 1.047 ~ 1.899) were independent predictors of AVC. The area under the curve (AUC) of the model in the training set and the validation set were 0.738 and 0.715, respectively. The calibration curve demonstrated that the predicted risk was highly consistent with the actual risk, and DCA verified that its clinical net benefit was significant. Conclusions Age, height, RVEDd and statin use are independent predictors of AVC in patients with CAC. The nomogram model constructed based on these factors demonstrates excellent predictive ability, which is conducive to the early identification and clinical management of high-risk patients.

Key words: coronary artery calcification, aortic valve calcification, risk factors, predictive model, nomogram

中图分类号: