实用医学杂志 ›› 2026, Vol. 42 ›› Issue (1): 110-118.doi: 10.3969/j.issn.1006-5725.2026.01.014

• 慢性病防治专栏 • 上一篇    

基于左心声学造影及三维超声全自动定量技术参数预测冠心病患者经皮冠状动脉介入术后心血管不良事件的价值

骆周展1,胡庆玲1,王巧凤1,雷国龙1,唐梦瑶1,彭超1,唐英英2()   

  1. 1.长沙市第一医院超声科 (湖南 长沙 410005 )
    2.长沙市中医医院,长沙市第八医院超声科 (湖南 长沙 410005 )
  • 收稿日期:2025-10-11 出版日期:2026-01-10 发布日期:2026-01-14
  • 通讯作者: 唐英英 E-mail:13975141084@163.com
  • 基金资助:
    湖南省卫生健康委科研计划项目(D202309026583);长沙市自然科学基金项目(kq2403198)

Value of left ventricular contrast echocardiography and three-dimensional echocardiography heart model parameters on predicting major adverse cardiovascular events in patients with coronary heart disease after percutaneous coronary intervention

Zhouzhan LUO1,Qingling HU1,Qiaofeng WANG1,Guolong LEI1,Mengyao TANG1,Chao PENG1,Yingying TANG2()   

  1. 1.Department of Ultrasound,the First Hospital of Changsha,Changsha 410005,Hunan,China
    2.Department of Ultrasound,Changsha Hospital of Traditional Chinese Medicine (Changsha Eighth Hospital),Changsha 410005,Hunan,China
  • Received:2025-10-11 Online:2026-01-10 Published:2026-01-14
  • Contact: Yingying TANG E-mail:13975141084@163.com

摘要:

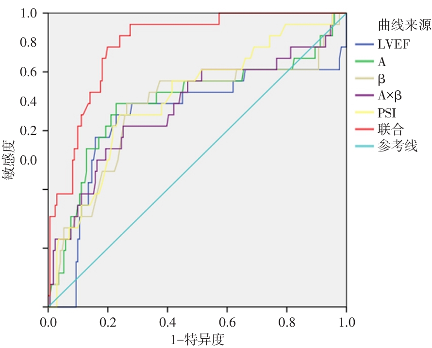
目的 基于左心声学造影及三维超声全自动定量技术(3D-HM)参数预测冠心病患者经皮冠状动脉介入(PCI)术后心血管不良事件(MACE)的价值。 方法 选取2023年6月至2024年12月于长沙市第一医院心内科行冠脉造影确诊及PCI治疗的197例冠心病患者,另择同期健康志愿者104例,对比两组一般资料及入院时的3D-HM参数[左心室舒张末容积(LVEDV)、左心室收缩末容积(LVESV)、左心室射血分数(LVEF)]、心肌声学造影(MCE)参数[平台峰值强度(A)、曲线斜率(β)、心肌血流量(A×β)、灌注计分指数(PSI)];PCI术后随访6个月,统计冠心病患者PCI术后MACE发生情况并分为发生MACE组(26例)和未发生MACE组(171例),比较两组患者一般资料及PCI术前、术后1周、术后3个月、术后6个月的3D-HM参数、MCE参数,冠心病患者PCI术后MACE发生的危险因素及左心声学造影、3D-HM参数对冠心病患者PCI术后发生MACE的预测价值,分别采用多因素logistic回归分析和绘制受试者工作曲线(ROC)进行评价。 结果 与健康志愿者比较,冠心病患者的LVEDV、LVESV、PSI均更高,LVEF、A、β、A×β均更低(P < 0.05);与未发生MACE组比较,发生MACE组存活心肌节段< 4个的患者例数占比更高(P < 0.05);较同组术前,两组冠心病患者术后1周、术后3个月、术后6个月的LVEDV、LVESV、PSI均逐渐降低,且术后6个月为最低,LVEF、A、β、A×β均逐渐升高且术后6个月为最高(P < 0.05),较未发生MACE组,发生MACE组患者术后1周、术后3个月、术后6个月的LVEDV、LVESV、PSI均更高,LVEF、A、β、A×β均更低(P < 0.05);多因素分析结果显示:术后1周的高水平PSI(OR = 2.351)是冠心病患者PCI术后发生MACE的危险因素,而术后1周的高水平LVEF(OR = 0.381)、A(OR = 0.500)、β(OR = 0.521)、A×β(OR = 0.538)是保护因素(P < 0.05);ROC分析结果显示:术后1周LVEF、A、β、A×β、PSI联合预测冠心病患者PCI术后发生MACE的曲线下面积(AUC)为0.891,均大于LVEF、A、β、A×β、PSI单一诊断,AUC分别为0.647、0.697、0.676、0.681、0.709(P < 0.05)。 结论 左心声学造影及3D-HM参数(LVEF、A、β、A×β、PSI)与冠心病患者PCI术后MACE的发生密切相关,左心声学造影及3D-HM参数联合对该类患者临床预后具有较高的预测效能。

关键词: 左心声学造影, 三维超声全自动定量技术, 冠心病, 经皮冠状动脉介入, 心血管不良事件, 危险因素, 预测价值

Abstract:

Objective To explore the value of left ventricular contrast echocardiography and three-dimensional echocardiography Heart Model (3D-HM) parameters in predicting major adverse cardiovascular events (MACE) in patients with coronary heart disease after percutaneous coronary intervention (PCI). Methods A total of 197 patients with coronary heart disease, diagnosed by coronary angiography and treated with PCI in the Department of Cardiology of the First Hospital of Changsha from June 2023 to December 2024, were selected. Meanwhile, 104 healthy volunteers during the same period were also recruited. The general data, 3D-HM parameters [left ventricular end-diastolic volume (LVEDV), left ventricular end-systolic volume (LVESV), left ventricular ejection fraction (LVEF)], and myocardial contrast echocardiography (MCE) parameters [platform peak intensity (A), curve slope (β), myocardial blood flow (A × β), perfusion score index (PSI)] at the time of admission were compared between the two groups. All patients were followed up for 6 months after PCI. The occurrence of MACE after PCI in patients with coronary heart disease was recorded. Subsequently, the patients were divided into the MACE group (26 cases) and the non-MACE group (171 cases). The general data, 3D-HM parameters, and MCE parameters before PCI and at 1 week, 3 months, and 6 months after PCI were compared between the two groups of patients. The risk factors for the occurrence of MACE after PCI in patients with coronary heart disease and the predictive value of left ventricular contrast echocardiography and 3D-HM parameters for MACE after PCI in patients with coronary heart disease were evaluated by multivariate logistic regression analysis and receiver operating characteristic curve (ROC), respectively. Results Compared with healthy volunteers, the left ventricular end-diastolic volume (LVEDV), left ventricular end-systolic volume (LVESV), and pressure-strain index (PSI) of patients with coronary heart disease were higher, whereas the left ventricular ejection fraction (LVEF), A, β, and A × β were lower (P < 0.05). The proportion of patients with fewer than 4 viable myocardial segments in the major adverse cardiovascular event (MACE) group was higher than that in the non-MACE group (P < 0.05). When compared with the same group before surgery, in the two groups of patients with coronary heart disease, the LVEDV, LVESV, and PSI at 1 week, 3 months, and 6 months after surgery gradually decreased, reaching the lowest levels at 6 months after surgery. Meanwhile, the LVEF, A, β, and A × β gradually increased, reaching the highest levels at 6 months after surgery (P < 0.05). Compared with the non-MACE group, the LVEDV, LVESV, and PSI of patients in the MACE group were higher at 1 week, 3 months, and 6 months after surgery, while the LVEF, A, β, and A × β were lower (P < 0.05). Multivariate analysis indicated that a high level of PSI at 1 week after percutaneous coronary intervention (PCI) (OR = 2.351) was a risk factor for MACE in patients with coronary heart disease after PCI. In contrast, high levels of LVEF (OR = 0.381), A (OR = 0.500), β (OR = 0.521), and A × β (OR = 0.538) at 1 week after PCI were protective factors (P < 0.05). The results of receiver operating characteristic (ROC) analysis demonstrated that the area under the curve (AUC) of the combination of LVEF, A, β, A × β, and PSI in predicting MACE in patients with coronary heart disease after PCI was 0.891, which was greater than that of LVEF (0.647), A (0.697), β (0.676), A × β (0.681), or PSI (0.709) (P < 0.05). Conclusions Left ventricular contrast echocardiography and 3D-HM parameters (LVEF, A, β, A × β, PSI) are strongly associated with the occurrence of major adverse cardiovascular events (MACE) after percutaneous coronary intervention (PCI) in patients with coronary heart disease. The combination of left ventricular contrast echocardiography and 3D-HM parameters exhibits high predictive efficiency for the clinical prognosis of these patients.

Key words: left ventricular contrast echocardiography, three-dimensional echocardiography heart model, coronary heart disease, percutaneous coronary intervention, major adverse cardiovascular events, risk factors, predictive value

中图分类号: