实用医学杂志 ›› 2025, Vol. 41 ›› Issue (8): 1117-1122.doi: 10.3969/j.issn.1006-5725.2025.08.005

• 专题报道:神经疾病 • 上一篇    

血清微小RNA-143-3p、微小RNA-188-5p水平对急性脑梗死患者静脉溶栓后预后不良的预测价值

陈英道,李海宁,李育英,张岐平,梁炳松,李国辉()   

  1. 梧州市工人医院神经内科 (广西 梧州 543000 )
  • 收稿日期:2024-12-24 出版日期:2025-04-25 发布日期:2025-04-30
  • 通讯作者: 李国辉 E-mail:wzhhgh@163.com
  • 基金资助:
    广西壮族自治区卫生健康委员会自筹经费科研课题(Z-D20221713)

The predictive value of serum miR-143-3p and miR-188-5p levels for poor prognosis in patients with acute cerebral infarction after thrombolysis

Yingdao CHEN,Haining LI,Yuying LI,Qiping ZHANG,Bingsong LIANG,Guohui. LI()   

  1. Department of Neurology,Wuzhou Workers Hospital,Wuzhou 543000,Guangxi,China
  • Received:2024-12-24 Online:2025-04-25 Published:2025-04-30
  • Contact: Guohui. LI E-mail:wzhhgh@163.com

摘要:

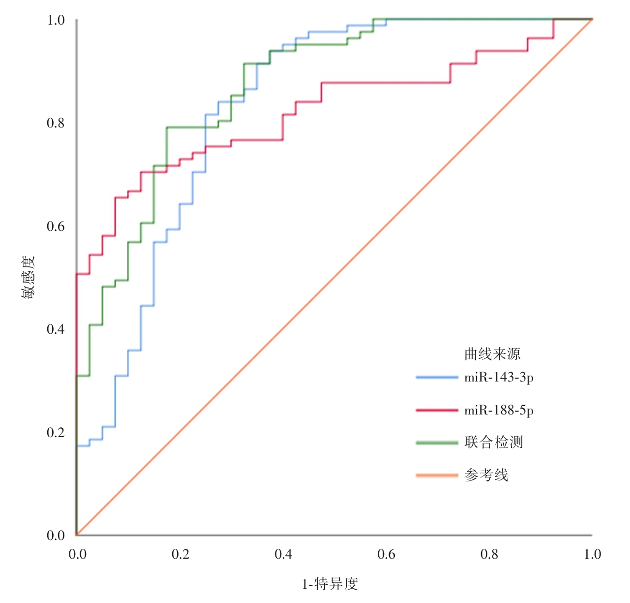
目的 探讨血清微小核糖核酸(miRNA)-143-3p、miR-188-5p水平对急性脑梗死(ACI)患者静脉溶栓后预后不良的预测价值。 方法 选取2022年2月至2024年2月医院收治的ACI患者121例(均行静脉溶栓治疗)作为观察组,根据病情程度分为轻度组和中重度组,根据术后情况分为预后良好组和预后不良组;另选同期健康体检者121例作为对照组。qRT-PCR法检测miR-143-3p、miR-188-5p表达水平;Pearson相关性分析血清miR-143-3p、miR-188-5p与NIHSS评分的相关性;logistic分析ACI患者溶栓后预后不良的影响因素;ROC曲线分析血清miR-143- 3p、miR-188-5p对ACI溶栓后预后不良的预测价值。 结果 观察组血清miR-143-3p水平高于对照组,miR-188-5p水平低于对照组(P < 0.05);轻度、中及重度组血清miR-143-3p、NIHSS评分依次升高,miR-188-5p水平依次降低(P < 0.05);血清miR-143-3p与miR-188-5p呈负相关(P < 0.05);血清miR-143-3p、miR-188-5p与NIHSS评分均有关(P < 0.05);糖尿病、发病至溶栓时间、入院时NIHSS评分、miR-143-3p、miR-143-3p为ACI患者溶栓后预后不良的影响因素;血清miR-143-3p、miR-188-5p联合预测ACI患者溶栓后预后不良的AUC为0.871,均优于各自单独预测(Z = 2.683、2.703,P < 0.05)。 结论 ACI患者血清miR-143-3p水平明显升高,miR-188-5p水平明显降低,为ACI溶栓后预后不良影响因素,二者联合具有更高诊断价值。

关键词: 微小核糖核酸-143-3p, 微小核糖核酸-188-5p, 急性脑梗死, 溶栓, 预后不良, 预测价值

Abstract:

Objective To investigate the predictive value of serum microRNA (miRNA) -143-3p and miR-188-5p levels for poor prognosis in patients with acute cerebral infarction (ACI) after thrombolysis. Methods From February 2022 to February 2024, 121 patients with acute cerebral infarction (ACI) who visited the hospital (all treated with thrombolysis) were selected as the study group. They were assigned into mild and moderate to severe groups based on the severity of their condition. They were into good prognosis group and poor prognosis group based on their postoperative condition. In addition, another 121 healthy individuals who underwent physical check ups during the same period were as the control group. The qRT-PCR method was applied to detect the expression levels of miR-143-3p and miR-188-5p. Pearson correlation was applied to analyze the correlation between serum miR-143-3p, miR-188-5p and NIHSS score. The influencing factors of poor prognosis in ACI patients after thrombolysis were analyzed using multiple logistic regression. ROC curve was plotted to analyze the predictive value of serum miR-143-3p and miR-188-5p for poor prognosis after thrombolysis in ACI patients. Results The serum miR-143-3p level in the study group was higher than that in the control group (P < 0.05), and the miR-188-5p level was lower than that in the control group (P < 0.05); The serum miR-143-3p and NIHSS score in the mild, moderate and severe groups were increased in turn, and the level of miR-188-5p was decreased in turn (P < 0.05); Serum miR-143-3p was negatively correlated with miR-188-5p (P < 0.05); Diabetes, time from onset to thrombolysis, NIHSS score at admission, miR-143-3p and miR-143-3p were the influencing factors of poor prognosis in ACI patients after thrombolysis; The AUC of the joint of serum miR-143-3p and miR-188-5p in predicting poor prognosis after thrombolysis in ACI patients was 0.871, and the joint of the two was better than their individual predictions (Z = 2.683, 2.703, P < 0.05). Conclusions The level of serum miR-143-3p in ACI patients is significantly increased, and the level of serum miR-188-5p is significantly decreased, which is a poor prognostic factor for ACI patients after thrombolysis. The combination of the two has higher diagnostic value.

Key words: microribonucleic acid-143-3p, microribonucleic acid-188-5p, acute cerebral infarction, thrombolysis, poor prognosis, predictive value

中图分类号: