The Journal of Practical Medicine ›› 2024, Vol. 40 ›› Issue (16): 2311-2315.doi: 10.3969/j.issn.1006-5725.2024.16.018

• Clinical Research • Previous Articles     Next Articles

Analysis of global local consistency changes in first-episode depression with childhood maltreatment based on resting-state magnetic resonance

Di WANG1,Dan LIAO2,Yuancheng LIU2,Rui XU2,Qinghong. DUAN1()   

  1. *.School of Medical Imaging,Guizhou Medical University,Guiyang 550004,China
  • Received:2024-02-20 Online:2024-08-25 Published:2024-08-26
  • Contact: Qinghong. DUAN E-mail:duanqinghong@gmc.edu.cn

Abstract:

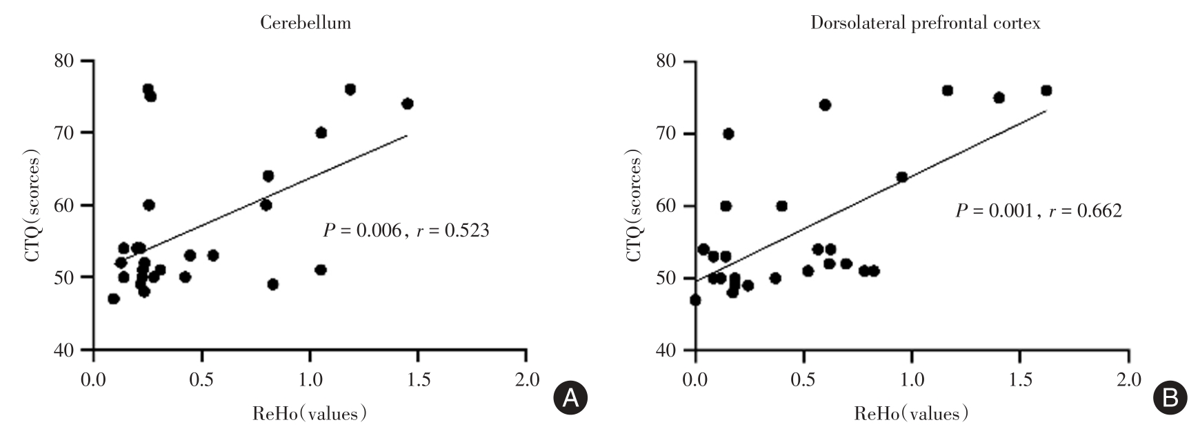
Objective This study used resting-state functional magnetic resonance imaging (rs-fMRI) to investigate the changes of local brain regional homogeneity in patients with depression and childhood maltreatment, and we calculated the relationship between altered ReHo values and the severity of childhood maltreatment. Methods 25 patients with depression and childhood maltreatment, 25 patients with depression without childhood maltreatment, and 25 age, gender, and education-matched healthy controls were prospectively enrolled. All subjects underwent resting-state functional magnetic resonance imaging and ReHo analysis. One-way analysis of variance was used to compare the group differences, along with multiple comparison correction. Pearson correlation analysis was used to explore the relationship between region ReHo values with clinical scales. Results Compared with the group of depression without childhood maltreatment, the abnormal brain regions of depression with childhood maltreatment are mainly located in the dorsolateral prefrontal cortex, cerebellum, parietal gyrus, and precentral gyrus. The ReHo values of depression with childhood maltreatment in the left cerebellum and the left dorsolateral prefrontal cortex are correlated with the severity of childhood maltreatment. Conclusions Depression with childhood maltreatment is associated with changes in local spontaneous brain activity, which are correlated with the severity of childhood maltreatment. The brain changes in the dorsolateral prefrontal cortex and cerebellum may explain the neurobiological mechanisms of depression with childhood maltreatment.

Key words: depression, childhood maltreatment, resting state, functional magnetic resonance imaging, regional homogeneity

CLC Number: