实用医学杂志 ›› 2026, Vol. 42 ›› Issue (1): 21-28.doi: 10.3969/j.issn.1006-5725.2026.01.003

• 肿瘤诊治与预后专栏 • 上一篇    下一篇

骨骼肌超声检查联合生物电阻抗分析在肿瘤脓毒症患者重症监护室获得性衰弱中的诊断价值

张震,王东浩,吕扬()   

  1. 天津医科大学肿瘤医院、国家恶性肿瘤临床医学研究中心、天津市恶性肿瘤临床医学研究中心、天津市肿瘤防治重点实验室、天津市肿瘤医院重症监护科 (天津 300060 )
  • 收稿日期:2025-09-26 出版日期:2026-01-10 发布日期:2026-01-14
  • 通讯作者: 吕扬 E-mail:lyuyang@tjmuch.com
  • 基金资助:
    天津市医学重点学科建设项目(TJYXZDXK-3-003A);天津市卫生健康科技项目(TJWJ2022MS006);天津医科大学肿瘤医院科研项目(2107)

Diagnostic value of skeletal muscle ultrasonography combined with bioelectrical impedance analysis in acquired weakness in the intensive care unit of patients with tumor sepsis

Zhen ZHANG,Donghao WANG,Yang LV()   

  1. Department of Intensive Care Unit,Tianjin Cancer Hospital,Tianjin Medical University Cancer Institute & Hospital,National Clinical Research Center for Cancer,Tianjin′s Clinical Research Center for Cancer,Key Laboratory of Cancer Prevention and Therapy,Tianjin 300060,Tianjin,China
  • Received:2025-09-26 Online:2026-01-10 Published:2026-01-14
  • Contact: Yang LV E-mail:lyuyang@tjmuch.com

摘要:

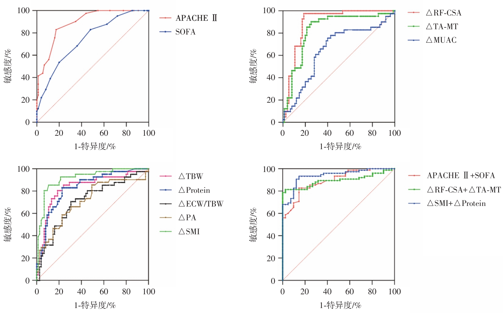
目的 探索股直肌横截面积(rectus femoris cross-sectional area, RF-CSA)、胫骨前肌厚度(tibialis anterior muscle thickness, TA-MT),以及生物电阻抗分析(bioelectrical-impedance-analysis, BIA)中的微观指标在重症监护室获得性衰弱(intensive care unit-acquired weakness, ICU-AW)中的诊断价值。 方法 对罹患肿瘤因脓毒症、脓毒症休克而进入天津医科大学肿瘤医院ICU的116例患者进行了一项单中心、观察性研究。通过患者的一般临床资料,并应用超声和生物电阻抗分析检测脓毒症发生6 h以内以及脓毒症治疗72 h以后股直肌、胫骨前肌、骨骼肌指数(SMI)、全身水含量(TBW)、蛋白质含量(Protein)等指标的变化,并进行统计学分析来预测ICU-AW的发生概率。 结果 最终41例患者诊断为ICU-AW,ICU-AW患者中存在更高比例的血管活性药物使用、机械辅助通气治疗,而且急性生理学和慢性健康状况评价Ⅱ(APACHEⅡ)和SOFA评分更高,病情更危重。另外分组对比显示ICU-AW组的患者在股直肌横截面积(RF-CSA)、胫骨前肌厚度(TA-MT)、骨骼肌指数(SMI)、全身水(TBW)、蛋白质含量(Protein)方面下降程度更为显著(P < 0.05)。此外,相比No ICU-AW组患者,在ICU-AW组患者中,初始平均PA值更低(3.42° vs. 3.80°),通过积极治疗后PA上升趋势更高。在ICU-AW诊断方面发现RF-CSA、TA-MT、SMI、TBW、Protein变化率在诊断ICU-AW上显示出较高的ROC-AUC[分别为0.891(95%CI为0.831 ~ 0.952),0.830(95%CI为0.749 ~ 0.911),0.916(95%CI为0.862 ~ 0.971),0.833(95%CI为0.749 ~ 0.917),0.834(95%CI为0.758 ~ 0.911)],此外,初始APACHEⅡ评分也显示出良好的诊断价值,ROC-AUC为0.829(95%CI为0.803 ~ 0.917),联合诊断模型中,生物电阻抗分析所测量的SMI变化率和Protein变化率联合模型具有最高的ROC-AUC(0.938,95%CI为0.895 ~ 0.980)。 结论 肿瘤脓毒症患者外周肌肉超声检测和生物电阻抗分析可以作为早期识别ICU-AW的方式。

关键词: ICU获得性衰弱, 股直肌, 胫骨前肌, 生物电阻抗分析, 肿瘤, 脓毒症

Abstract:

Objective To explore the application of rectus femoris cross-sectional area (RF-CSA), Tibialis anterior muscle thickness (TA-MT), and bioelectrical-impedance-analysis (BIA) in the diagnosis of intensive care unit-acquired weakness (ICU-AW). Methods A single-centre, observational study was carried out on 116 patients who were admitted to the Intensive Care Unit (ICU) of Tianjin Medical University Cancer Hospital because of tumour-related sepsis or septic shock. By examining the patients' general clinical data and using ultrasound and bioimpedance analysis to monitor the changes in indicators such as rectus femoris, tibialis anterior, skeletal muscle index (SMI), total body water (TBW), and protein content within 6 hours after the onset of sepsis and 72 hours after the initiation of sepsis treatment, statistical analysis was performed to predict the probability of ICU-AW occurrence. Results Ultimately, a total of 41 patients were diagnosed with ICU-AW. Patients with ICU-AW had a higher proportion of vasoactive drug use and mechanical ventilation, along with elevated Acute Physiology and Chronic Health Evaluation Ⅱ (APACHE Ⅱ) and Sequential Organ Failure Assessment (SOFA) scores, which clearly indicated a more severe state of illness. Moreover, group-by-group comparisons showed more significant decreases in RF-CSA, TA-MT, SMI, TBW, and protein content (Protein) in the ICU-AW group (P < 0.05). In addition, compared to the non-ICU-AW group, ICU-AW patients had lower initial mean Passive Angle (PA) values (3.42° vs. 3.80°) and showed a more rapid increase in PA after aggressive intervention. When it came to the diagnosis of ICU-AW, the change rates of RF-CSA, TA-MT, SMI, TBW, and Protein presented higher Receiver Operating Characteristic-Area Under the Curve (ROC-AUC) values for diagnosing ICU-AW [0.891 (95%CI: 0.831 ~ 0.952), 0.830 (95%CI: 0.749 ~ 0.911), 0.916 (95%CI: 0.862 ~ 0.971), 0.833 (95%CI: 0.749 ~ 0.917), and 0.834 (95%CI: 0.758 ~ 0.911), respectively]. Furthermore, the initial APACHE Ⅱ score showed good diagnostic value, with a ROC-AUC of 0.829 (95%CI: 0.803 ~ 0.917). In the combined diagnostic model, the joint model that included the SMI change rate and Protein change rate measured by bioimpedance analysis achieved the highest ROC-AUC (0.938, 95%CI 0.895 ~ 0.980). Conclusion Peripheral muscle ultrasound and bioelectrical impedance analysis can be employed as effective tools for the early detection of ICU-AW in patients with tumor sepsis.

Key words: ICU-acquired weakness, rectus femoris, tibialis anterior, bioelectrical impedance analysis, tumor, sepsis

中图分类号: