The Journal of Practical Medicine ›› 2026, Vol. 42 ›› Issue (7): 1208-1214.doi: 10.3969/j.issn.1006-5725.2026.07.013

• Chronic Disease Control • Previous Articles    

AMPK activation inhibits pulmonary arterial smooth muscle cells proliferation via YAP/PKM2/glycolysis signaling pathway

Rui KE(),Wei ZHANG,Ping HE,Wenhua SHI,Yonghong ZHANG   

  1. Department of Respiratory and Critical Care Medicine,the Second Affiliated Hospital of Xi'an Jiaotong University,Xi'an 710004,Shaanxi,China
  • Received:2025-11-12 Revised:2025-12-01 Accepted:2025-12-02 Online:2026-04-10 Published:2026-04-13
  • Contact: Rui KE E-mail:ke19870912@163.com

Abstract:

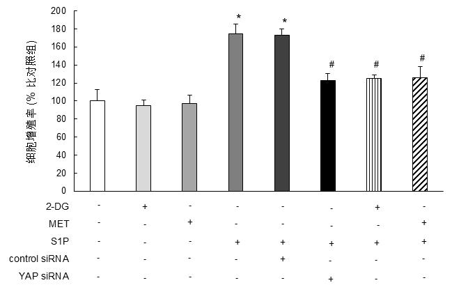
Objective To investigate the molecular mechanism by which Yes-associated protein (YAP) regulates glycolysis during pulmonary arterial smooth muscle cell (PASMC) proliferation, and to identify potential therapeutic targets. Methods Primary cultured PASMC were stimulated with sphingosine-1-phosphate (S1P). YAP phosphorylation and pyruvate kinase (PKM2) protein expression were determined by Western blot. Cellular glycolytic function was assessed by measuring the glycolysis rate with a seahorse metabolic analyzer and quantifying lactate production using a lactate assay kit. Cell proliferation was analyzed by a BrdU incorporation assay. Results Compared with the control group, the S1P group showed significantly reduced p-YAP level, increased PKM2 protein expression, enhanced glycolytic capacity, and elevated lactate production in the culture medium (P < 0.05). Knockdown of YAP with specific siRNA attenuated S1P-induced PKM2 upregulation, as well as the enhancement of glycolytic capacity and lactate production (P < 0.05). Furthermore, activation of AMPK by metformin inhibited YAP activity, thereby reversing S1P-induced upregulation of PKM2, enhanced glycolysis, and lactate production (P < 0.05). Finally, interventions with YAP siRNA transfection, the glycolysis inhibitor 2-DG, and the AMPK activator metformin mitigated S1P-induced PASMC proliferation (P < 0.05). Conclusion S1P promotes PASMC proliferation through the YAP/PKM2/glycolysis signaling pathway, while metformin activates AMPK to inhibit this pathway, thereby suppressing PASMC proliferation.

Key words: proliferation, Yes-associated protein, AMP-activated protein kinase, glycolysis

CLC Number: