The Journal of Practical Medicine ›› 2026, Vol. 42 ›› Issue (7): 1183-1191.doi: 10.3969/j.issn.1006-5725.2026.07.010

• Oncology: Diagnosis, Treatment and Prevention • Previous Articles    

The relationship between serum miR-145, miR-934, AFP, TK1 levels and clinicopathological characteristics and prognosis in patients with primary liver cancer

Yahong NIE1,Meiyu ZHAO2,Chengyu SHI3,Shan LIU1()   

  1. 1.Department of laboratory medicine,Qingdao Central Hospital,University of Health and Rehabilitation Sciences,Qingdao 266042,Shandong,China
    2.Department of Laboratory Qingdao public health clinical center,Qingdao 266033,Shandong,China
    3.Department of Hepatobiliary Surgery Ⅰ (abdominal tumor surgery),Qingdao Central Hospital,University ofHealth and Rehabilitation Sciences,Qingdao 266042,Shandong,China
  • Received:2025-12-23 Revised:2026-01-08 Accepted:2026-01-09 Online:2026-04-10 Published:2026-04-13
  • Contact: Shan LIU E-mail:18561857560@163.com

Abstract:

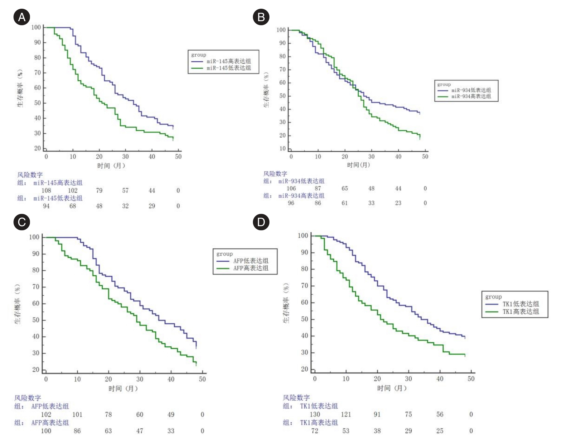
Objective To explore the relationship between the levels of serum MicroRNA (miR)-145, miR-934, Alpha-fetoprotein (AFP), and Thymidine kinase 1 (TK1) in patients with primary liver cancer, as well as their associations with the clinicopathological characteristics and prognosis. Methods From September 2021 to September 2023, 202 cases of primary liver cancer patients admitted to Qingdao Central Hospital, University of Health and Rehabilitation Sciences were selected as the liver cancer group. Meanwhile, 205 patients with liver cirrhosis during the same period were selected as the liver cirrhosis group, and 213 healthy individuals undergoing physical examinations were selected as the control group. Among them, the liver cancer group was further divided into the poor-outcome group and the good-outcome group according to the prognosis 3 months after surgery, with 56 cases in the poor-outcome group and 146 cases in the good-outcome group respectively. After discharge, patients were followed up every three months, and the follow-up period ended in September 2025 or upon the patient's death. The clinical data of all the research subjects were statistically analyzed. The levels of serum miR-145, miR-934, AFP, and TK1 were compared among the liver cancer group, liver cirrhosis group, control group, poor-outcome group, good-outcome group, and patients with primary liver cancer with different clinicopathological characteristics. The predictive value of combined detection of different serum indicators for the poor prognosis of patients with primary liver cancer was analyzed using the receiver operating characteristic curve (ROC). Additionally, the Kaplan-Meier survival curve was drawn to analyze the overall survival of patients with primary liver cancer at different expression levels of serum indicators. Results The serum miR-145 level in the liver cancer group was significantly lower than those in the liver cirrhosis group and the control group. In contrast, the levels of miR-934, AFP, and TK1 were higher than those in the liver cirrhosis group and the control group (P < 0.05). Moreover, the levels of each index in the liver cirrhosis group were intermediate between those in the liver cancer group and the control group. The serum miR-145 level in patients with TNM stage Ⅲ and poorly differentiated primary liver cancer was lower than that in patients with TNM stage Ⅰ—Ⅱ and moderately to highly differentiated primary liver cancer (P < 0.05). The levels of serum AFP and TK1 in patients with TNM stage Ⅲ and poorly differentiated primary liver cancer were higher than those in patients with TNM stage Ⅰ—Ⅱ and moderately to well-differentiated primary liver cancer (P < 0.05). The serum miR-934 level in patients with TNM stage Ⅲ primary liver cancer was higher than that in patients with TNM stage Ⅰ—Ⅱ primary liver cancer (P < 0.05). The serum miR-145 level in the poor-outcome group was lower than that in the good-outcome group, whereas the other three indicators were higher (all P < 0.05). ROC curve analysis demonstrated that the area under the curve (AUC) for the combined prediction of poor prognosis by the four indicators was 0.897 (95%CI: 0.846 ~ 0.935), with a sensitivity of 83.93% and a specificity of 86.99%, which was superior to any single indicator (P < 0.05). The median follow-up time was 35 months (range: 3 to 48 months). Survival analysis indicated that the overall survival period was longer in the miR-145 high-expression group (hazard ratio 0.669, 95%CI: 0.475 ~ 0.943, P = 0.022), while the overall survival periods were longer in the miR-934, AFP, and TK1 low-expression groups (hazard ratio 0.707, 95%CI: 0.506 ~ 0.987; hazard ratio 0.700, 95%CI: 0.501 ~ 0.978; hazard ratio 0.627, 95%CI: 0.428 ~ 0.917; all P < 0.05). Conclusions miR-145 exhibited low expression in the serum of patients with primary liver cancer, whereas miR-934, AFP, and TK1 showed high expression in the serum of these patients. These four indicators were closely associated with the clinicopathological characteristics and poor prognosis of patients with primary liver cancer. Furthermore, the combined detection of these four indicators holds high predictive value for the poor prognosis of patients with primary liver cancer and may offer a new biomarker combination for prognosis assessment.

Key words: primary liver cancer, pathological features, prognosis, microrna-145, microRNA-934, alpha-fetoprotein, thymidine kinase 1

CLC Number: