The Journal of Practical Medicine ›› 2025, Vol. 41 ›› Issue (9): 1345-1351.doi: 10.3969/j.issn.1006-5725.2025.09.011

• Clinical Research • Previous Articles     Next Articles

Application of optical surface monitoring system in intensity⁃modulated radiotherapy for thoracic tumors

Haixia YANG1,Menglu SUN1,Xiaosha ZHOU1,Yaxuan HAN1,Baolong REN1,Jianying LI2,Yi LI3()   

  1. Department of Radiation Oncology,Xi'an Chest Hospital,Xi'an 710100,Shaanxi,China
  • Received:2025-01-08 Online:2025-05-10 Published:2025-05-20
  • Contact: Yi LI E-mail:flinglee@sina.com

Abstract:

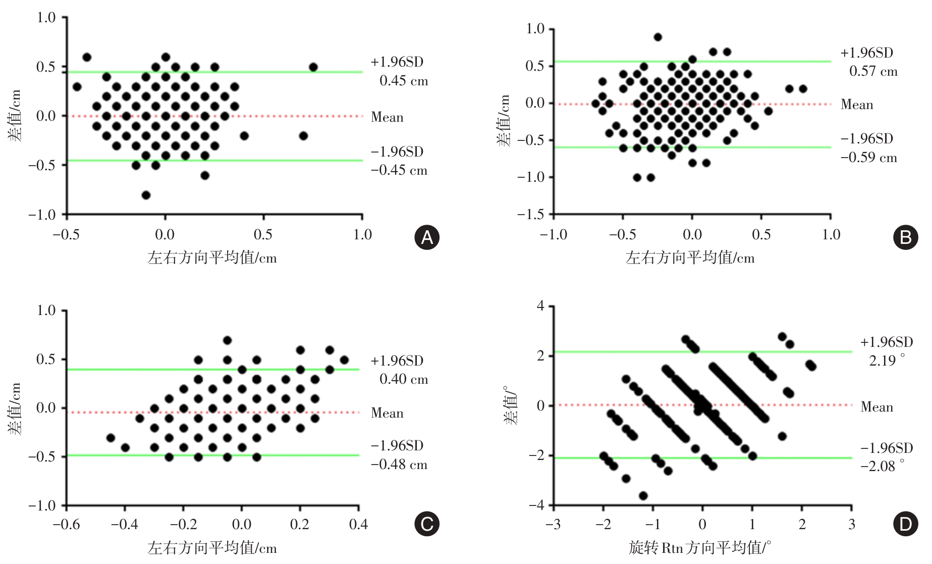
Objective To evaluate the effect of optical body surface monitoring system (OSMS) in setup of intensity modulated radiotherapy (IMRT) for thoracic tumorsand to analyze its relationship with BMI. Methods Thesetup errors of CBCT and location CT with body membrane and the registration errors of OSMS and first body surface reference image without body membrane were obtained in 49 patients with thoracic tumor who received routine intensity modulated radiotherapy. The paired t-test was used to analyze the difference of registration errors between the two image guidance methods. Pearson′s correlation analysis was used to analyze the correlation between CBCT errors and OSMS errors, and Bland-Altman analysis was employed to evaluatethe agreement of the two errors. The correlation and consistency of the two registration errors in patients with different BMI index were analyzed. PTV external marginsby the two registration methods were calculated using Van Herk formula. Results The OSMS and CBCT groups demonstrated significant differences in setup errors in the ventrodorsal direction (P < 0.05), while no significant differences were found in the left-right, head-foot translation directions, or RTN rotation directions (P > 0.05). Although the two methods showed a significant correlation in setup errors (P < 0.05), this correlation was only moderate in the head-foot and left-right directions (r = 0.500, 0.408), weak in the RTN rotation direction (r = 0.339), and very weak in the ventrodorsal direction (r = 0.152). The limits of agreement (LOA, 95% CI) between the two methods were [-0.45, 0.45] cm in the left-right direction, [-0.59, 0.57] cm in the head-foot direction, and [-0.48, 0.40] cm in the ventrodorsal direction, with (-2.08° ~ 2.19°) in the RTN rotation direction.Different BMI levels influenced the results of the two registration methods, particularly in patients with a BMI of 18.5 ~ 23.9 kg/m2. In this group, OSMS and CBCT exhibited a strong correlation in the head-foot direction (r = 0.731), a moderate correlation in the left-right direction (r = 0.512), and weak correlations in the ventrodorsal and RTN rotation directions (r = 0.345, 0.267). The absolute difference in setup errors between the two imaging systems was 0.4 ~ 0.5 cm/2°. Using CBCT and OSMS image guidance, the margins in the left-right, head-foot, and ventrodorsal directions were [0.5 cm, 0.7 cm, 0.3 cm] for CBCT, and [0.5 cm, 0.7 cm, 0.5 cm] for OSMS. Conclusion In chest tumor patients with a BMI of 18.5 ~ 23.9 kg/m2, OSMS and CBCT image guidance methods show good correlation in the head-foot and left-right directions, but their limits of agreement exceed the clinically acceptable range. OSMS cannot yet replace CBCT for image guidance in chest tumor intensity-modulated radiotherapy. Further improvements to tumor motion surrogates are necessary to enhance the accuracy of OSMS image guidance.

Key words: optical surface monitoring system, cone-beam CT, thoracic tumors, IMRT, setup errors

CLC Number: