实用医学杂志 ›› 2023, Vol. 39 ›› Issue (17): 2210-2214.doi: 10.3969/j.issn.1006-5725.2023.17.010

• 临床研究 • 上一篇    下一篇

中国人内脏脂肪指数与肥胖合并阻塞性睡眠呼吸暂停的相关性及预测价值

张鹏1,张华1(),胡扬喜2,杨晓乐1,李振华1,祖育娜1,李国燕1,贺荟茜2   

  1. 1.郑州大学附属郑州中心医院,呼吸与危重症医学科,(郑州 450000 )
    2.郑州大学附属郑州中心医院,代谢减重外科,(郑州 450000 )
  • 收稿日期:2023-02-22 出版日期:2023-09-10 发布日期:2023-09-27
  • 通讯作者: 张华 E-mail:luckzhanghua@163.com
  • 基金资助:
    河南省医学科技攻关计划联合共建项目(2018020776)

Sdudy on the correlation and predictive value of chinese visceral adipose indexwith Obstructive sleep apnea in obesity

Peng ZHANG1,Hua ZHANG1(),Yangxi HU2,Xiaole YANG1,Zhenhua LI1,Yuna ZU1,Guoyan LI1,Huiqian. HE2   

  1. *.Department of Pulmonary and Critical Care Medicine,Zhengzhou Center Hospital Affiliated to Zhengzhou University,Zhengzhou 450000,China
  • Received:2023-02-22 Online:2023-09-10 Published:2023-09-27
  • Contact: Hua ZHANG E-mail:luckzhanghua@163.com

摘要:

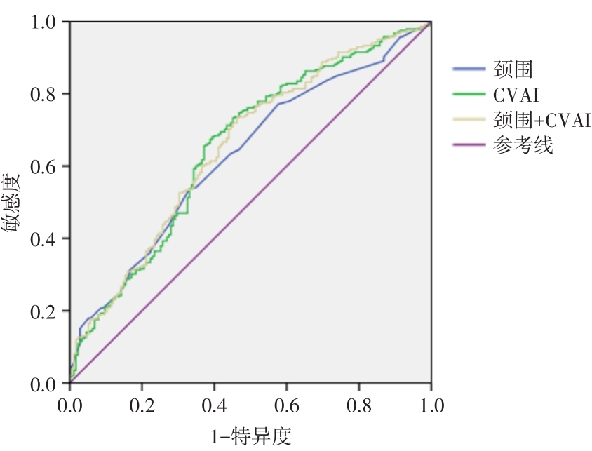
目的 通过对中国人内脏脂肪指数(Chinese visceral adipose index, CVAI)及肥胖相关评价指标与肥胖合并阻塞性睡眠呼吸暂停(obstructive sleep apnea, OSA)的相关性研究及影响因素分析,筛选出肥胖合并OSA的诊断指标,并对其诊断价值进行评估。 方法 选择在郑州大学附属郑州中心医院代谢减重外科住院拟行代谢减重手术的肥胖患者共460例,通过呼吸暂停低通气指数(apnea hypopnea index,AHI)将其分为OSA组及非OSA组,所有对象均测量身高、体质量、颈围、腰围、臀围,检测血脂水平,根据公式计算BMI、腰高比、腰臀比、CVAI,分析这些指标与AHI的相关性并筛选出OSA的影响因素,通过受试者工作特征曲线(ROC)分析评价其诊断价值。 结果 本研究中OSA的患病率为62%(285/460);OSA组的体质量、BMI、颈围、腰围、臀围、腰高比、CVAI、AHI均高于非OSA组,最低氧饱和度、平均氧饱和度均低于非OSA组(P < 0.05);BMI、颈围、腰围、臀围、腰高比、腰臀比、CVAI与AHI均呈正相关,颈围与AHI的相关性最强,其次是CVAI;性别、颈围和CVAI是OSA的独立影响因素。ROC曲线分析显示,颈围、CVAI诊断OSA的曲线下面积(AUC)分别为0.627和0.652,颈围的临界值男性为47.75 cm,灵敏度64.1%,特异度78.9%,女性最佳临界值39.75 cm,灵敏度70.6%,特异度51.8%;CVAI的临界值男性为266.19,灵敏度67.2%,特异度68.4%,女性最佳临界值170.54,灵敏度59.7%,特异度75.9%;二者联合诊断的AUC值为0.653,较单一指标增高,灵敏度73.7%,特异度53.7%。 结论 CVAI与肥胖合并OSA密切相关,其与颈围均可作为肥胖患者是否合并OSA的预测指标,二者联合预测价值更高。

关键词: 中国人内脏脂肪指数, 肥胖, 阻塞性睡眠呼吸暂停

Abstract:

Objective By evaluating the correlation of chinese visceral adipose index (CVAI) and obesity-related evaluation indexes with Obstructive sleep apnea(OSA) and analyzing the influencing factors, we aim to screen out the diagnostic indexes of OSA in obesity and evaluate their diagnostic value. Methods A total of 460 obese patients admitted to bariatric surgery were enrolled,they were divided into OSA group and non-OSA group according to apnea hypopnea index (AHI), All subjects were measured for height, weight, neck circumference(NC), waist circumference(WC) and hip circumference(HC), examined for lipid levels, BMI, waist-to-height ratio(WHtR), waist-to-hip ratio(WHR) and CVAI were calculated according to the formula, The correlation between these indexes and AHI was analyzed and the influencing factors of OSA were screened out, The diagnostic value was evaluated by receiver operating characteristic curve (ROC) analysis. Results The prevalence of OSA in this study was 62%, Body weight, BMI, NC, WC, HC, WHtR, CVAI and AHI in OSA group were higher than those in non-OSA group, The lowest oxygen saturation and average oxygen saturation were lower than those in non-OSA group (P < 0.05). BMI, NC, WC,HC, WHtR, WHR, CVAI were positively correlated with AHI, and the correlation between NC and AHI was the strongest, followed by CVAI. Gender, NC and CVAI were independent influencing factors of OSA.ROC curve analysis showed that the area under curve (AUC) of NC and CVAI were 0.627 and 0.652 respectively.The critical value of NV for male was 47.75 cm, with 64.1% sensitivity and 78.9% specificity, The optimal threshold value for female was 39.75 cm, the sensitivity was 70.6%, the specificity was 51.8%; The critical value of CVAI for male was 266.19, with 67.2% sensitivity and 68.4% specificity, and the optimal critical value for female was 170.54, with 59.7% sensitivity and 75.9% specificity.The AUC value of the combined diagnosis was 0.653, higher than that of the single index, with 73.7% sensitivity and 53.7% specificity. Conclusion CVAI is closely correlated with OSA in obese patients, and can be used as a predictor of OSA in obese patients, the predictive value was higher when combined with NC.

Key words: chinese visceral adipose index, obesity, obstructive sleep apnea

中图分类号: