实用医学杂志 ›› 2025, Vol. 41 ›› Issue (7): 976-984.doi: 10.3969/j.issn.1006-5725.2025.07.007

• 临床研究 • 上一篇    下一篇

微波消融术与亚肺叶切除术对ⅠA期非小细胞肺癌疗效的倾向评分匹配对比分析

赵应鼎,李邦胜,薛天天,资棋涵,杨欣,王曦()   

  1. 昆明医科大学第三附属医院,云南省肿瘤医院胸外一科 (云南 昆明 650118 )
  • 收稿日期:2025-01-18 出版日期:2025-04-10 发布日期:2025-04-23
  • 通讯作者: 王曦 E-mail:wangxi1a2b@sina.com
  • 基金资助:
    国家癌症中心攀登基金项目(NCC201925B02)

Efficacy and complications of microwave ablation and sublobectomy for treating ⅠA⁃stage NSCLC: A comparative analysis based on propensity score matching

Yingding ZHAO,Bangsheng LI,Tiantian XUE,Qihan ZI,Xin YANG,Xi WANG()   

  1. Department of Thoracic Surgery,Kunming 650118,Yunnan,China
  • Received:2025-01-18 Online:2025-04-10 Published:2025-04-23
  • Contact: Xi WANG E-mail:wangxi1a2b@sina.com

摘要:

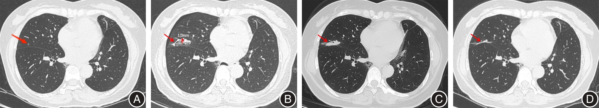
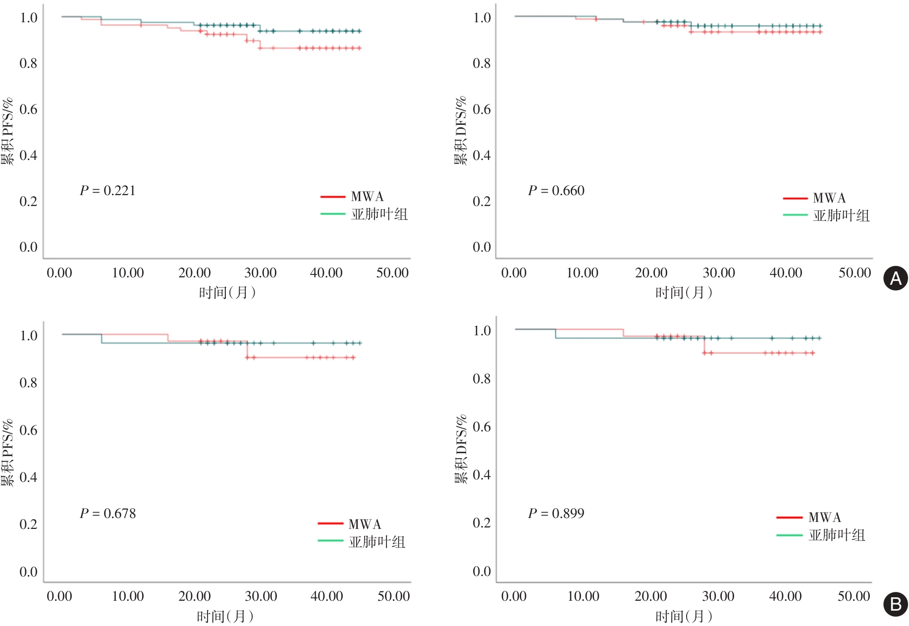
目的 旨在比较微波消融(MWA)和亚肺叶切除术治疗ⅠA期非小细胞肺癌(NSCLC)的临床疗效和并发症。 方法 回顾性收集2021年1月至2022年12月在云南省肿瘤医院治疗的ⅠA1-ⅠA3期NSCLC患者的资料。通过倾向评分匹配,共筛选出82例接受MWA的患者和 82例接受亚肺叶切除的患者。比较两组围手术期情况、近期疗效及并发症情况。监测评估无进展生存期(PFS)和无病生存期(DFS)。 结果 与亚肺叶切除组相比,MWA组手术时间短、术中失血量少、术后疼痛轻、住院时间短、住院费用低(P < 0.001)。所有患者均顺利完成手术,MWA组完全消融率为97.6%,局部控制率为87.8%。中位随访时间为26.5个月,两组之间的PFS和DFS差异无统计学意义(P > 0.05)。MWA组观察到的主要并发症为气胸(24.4%,20/82)和中度至重度疼痛(11.0%,9/82),而亚肺叶切除组则出现中度至重度疼痛(41.5%,34/82)和肺部感染(12.2%,10/82)。对MWA气胸发生的影响因素分析,单因素中6项变量与其相关,带入多因素logistic回归分析显示:肿瘤距胸膜最短距离(OR = 15.341, 95%CI: 1.699 ~ 24.367, P = 0.021)和穿刺胸膜次数(OR = 0.068, 95%CI: 0.001 ~ 0.612, P = 0.024)为气胸发生的独立危险因素。 结论 MWA治疗ⅠA期NSCLC患者疗效好、创伤小、费用低、恢复快,并发症少且轻;MWA和亚肺叶切除术有相当的PFS和DFS,是一种安全有效的治疗方法,值得在临床治疗中推广。

关键词: 微波消融术, 亚肺叶切除术, 非小细胞肺癌, 疗效, 并发症, 无进展生存期

Abstract:

Objective This study aims to compare the clinical efficacy and complications associated with microwave ablation (MWA) and sublobectomyfor treating stage ⅠA non?small cell lung cancer (NSCLC). Methods Data from stage ⅠA1?ⅠA3 NSCLC patients treated at Yunnan Cancer Hospital between January 2021 and December 2022 were retrospectively collected. A total of 82 patients who underwent MWA and 82 patients who received sublobectomy were selected through propensity score matching. Periprocedural conditions, short?term efficacy, and complications were compared between the two groups. Progression?free survival (PFS) and Disease?free survival (DFS) were monitored and evaluated. The Kaplan?Meier method was employed to construct survival curves, and logistic regression was utilized to analyze the factors influencing complications. Results The MWA group exhibited shorter procedure times, less intraprocedural blood loss, less postprocedure pain, shorter hospitalization durations, and lower hospitalization costs compared to the sublobectomy group (P < 0.001). All patients successfully underwent the procedures, with a complete ablation rate of 97.6% and a local control rate of 87.8%in the MWA group. The median follow?up duration was 26.5 months. Survival curve analysis indicated no statistically significant differences in PFS and DFS between the two groups. The primary complications observed were pneumothorax (24.4%, 20/82) and moderate to severe pain (11.0%, 9/82) in the MWA group, while the sublobectomy group experienced moderate to severe pain (41.5%, 34/82) and pulmonary infection (12.2%, 10/82). Single?factor analysis demonstrated six variables influenced the occurrence of MWA pneumothorax. Multi?factor logistic regression revealed that the shortest distance from the tumor to the pleura (P = 0.021,OR = 15.341,95%CI: 1.699 ~ 24.367) and the number of punctures through the pleura (P = 0.024,OR = 0.068, 95%CI: 0.001 ~ 0.612) were identified as independent risk factors for pneumothorax. Conclusion MWA demonstrates good efficacy for treating stage ⅠA NSCLC due to minimal trauma, low cost, rapid recovery, few and mild complications. Additionally, MWA and sublobectomy exhibit comparable PFS and DFS, making MWA a safe and effective treatment method. Therefore, MWA is worthy of promotion in clinical practice.

Key words: microwave ablation, sublobectomy, non-small cell lung cancer, curative effect, complications, progression free survival

中图分类号: