实用医学杂志 ›› 2025, Vol. 41 ›› Issue (3): 305-312.doi: 10.3969/j.issn.1006-5725.2025.03.001

• 基础研究 •    

四氢姜黄素通过下调ROS/p53信号通路抑制高糖诱导的血小板聚集和活化

胡锦秋1,毕晓艳1,马军羽1,李梦瑶1,李荣1,牙甫礼1,张春梅2()   

  1. 1.大理大学公共卫生学院,营养与食品卫生学教研室,(云南 大理 671000 )
    2.大理大学公共卫生学院,实验教学中心,(云南 大理 671000 )
  • 收稿日期:2024-11-21 出版日期:2025-02-10 发布日期:2025-02-19
  • 通讯作者: 张春梅 E-mail:ZhangCM2023@yeah.net
  • 基金资助:
    国家自然科学基金项目(82260638);云南省基础研究专项面上项目(202401AT070081)

Tetrahydrocurcumin attenuates high glucose⁃induced platelet aggregation and activation through down⁃regulating ROS/p53 signaling pathway

Jinqiu HU1,Xiaoyan BI1,Junyu MA1,Mengyao LI1,Rong LI1,Fuli YA1,Chunmei. ZHANG2()   

  1. *.Department of Nutrition,School of Public Health,Dali University,Dali 671000,Yunnan,China
  • Received:2024-11-21 Online:2025-02-10 Published:2025-02-19
  • Contact: Chunmei. ZHANG E-mail:ZhangCM2023@yeah.net

摘要:

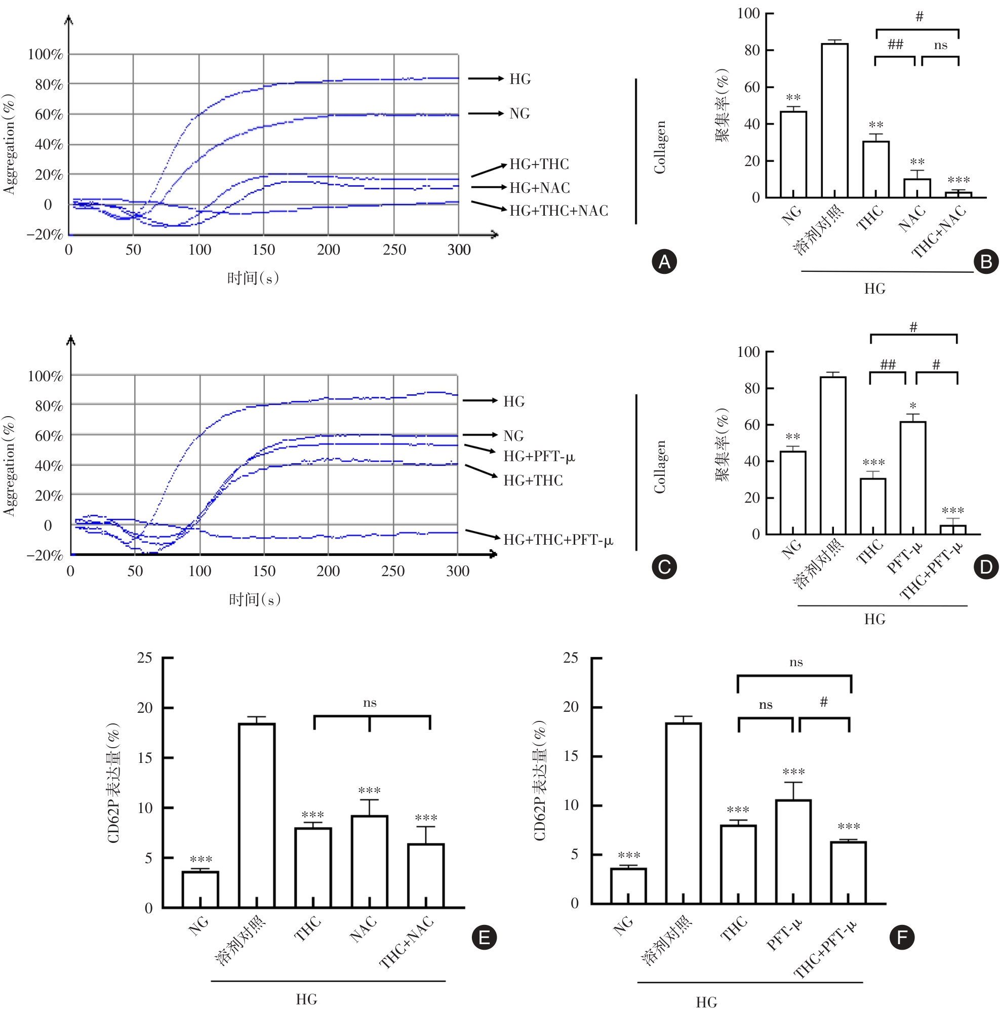
目的 旨在通过体外实验探讨姜黄素的主要代谢活性产物四氢姜黄素(tetrahydrocurcumin,THC)对高糖(high glucose,HG)诱导人血小板聚集和活化的作用及机制。 方法 将溶剂对照(0.05% DMSO)或THC(0.5、1、10 μmol/L)与健康人来源的纯化血小板在体外共同孵育40 min,随后加入Normal glucose(NG,5 mmol/L)或HG(25 mmol/L)溶液继续作用90 min后,使用血小板聚集仪测定血小板的最大聚集率,并利用流式细胞术评估血小板经典活化标志物CD62P的表达情况以及胞内总活性氧(Reactive oxygen species,ROS)生成水平。同时,通过Western blot蛋白免疫印迹实验检测血小板p53蛋白的磷酸化水平。 结果 与NG组相比,HG干预可显著增加血小板聚集(P < 0.05)和CD62P的表达(P < 0.001),且可被不同浓度的THC显著抑制(P < 0.05)。机制上,与溶剂对照组相比,THC显著降低HG诱导的血小板内总ROS 生成水平(P < 0.001),显著下调p53蛋白磷酸化水平(P < 0.05);此外,通过加入ROS清除剂N-乙酰半胱氨酸(N-acetylcysteine,NAC),观察到HG诱导的血小板内总ROS生成(P < 0.001)以及p53蛋白的磷酸化水平(P < 0.05)均显著降低,进一步将其与THC(10 μmol/L)联合使用时并未观察到协同抑制效果(P > 0.05)。HG诱导的血小板聚集和活化均可被NAC和p53特异性抑制剂PFT-μ显著抑制(P < 0.05),THC(10 μmol/L)与NAC联合干预时对HG诱导血小板聚集和活化无协同抑制作用(P > 0.05),与PFT-μ联合干预时对血小板聚集具有协同抑制作用(P < 0.05),但对血小板活化无协同抑制作用(P > 0.05)。 结论 在体外实验中,THC对HG诱导的健康人血小板聚集与活化具有显著的抑制作用,其作用机制可能是下调ROS/p53介导的信号通路,本研究为THC改善糖尿病及其相关慢性代谢性疾病中血栓形成提供参考。

关键词: 四氢姜黄素, 血小板聚集, 血小板活化, 高糖, 活性氧

Abstract:

Objective This study aims to explore the efficacy of tetrahydrocurcumin (THC), the major active metabolite of curcumin, on high glucose (HG)-induced human platelet aggregation and activation as well as to clarify the underlying mechanisms in vitro. Methods Purified platelets prepared from healthy subjects were pre-incubated with various concentrations of THC (0.5 μmol/L, 1 μmol/L or 10 μmol/L) or vehicle control (0.05% DMSO) for 40 min at 37°C, followed by the stimulation of normal glucose (NG, 5 mmol/L) or HG (25 mmol/L) for additional 90 min. The maximal aggregation rate was determined by an aggregometer. Flow cytometry was used to measure platelet surface expression of CD62P (a typical marker of platelet activation) and generation of total intraplatelet reactive oxygen species (ROS). Meanwhile, the phosphorylation level of platelet p53 was detected by Western blot assay. Results Compared with NG group, HG intervention significantly increased platelet aggregation (P < 0.05) and CD62P expression (P < 0.001), which were greatly inhibited by different concentrations of THC (P < 0.05). Mechanistically, when compared with solvent control, THC significantly decreased the level of total ROS production (P < 0.001) and p53 phosphorylation (P < 0.05). In addition, HG-induced total intraplatelet ROS generation (P < 0.001) and p53 phosphorylation (P < 0.05) were greatly attenuated by adding a ROS scavenger N-acetyl-L-cysteine (NAC). The combination of NAC with THC (10 μmol/L) showed no additive inhibitory effects (P > 0.05). Moreover, platelet aggregation and activation induced by HG were greatly decreased by NAC and a p53 specific inhibitor PFT-μ (P < 0.05). The combination of THC (10 μmol/L) and NAC resulted no additive inhibitory effects on HG-increased platelet aggregation and activation (P > 0.05). THC (10 μmol/L) exhibited additive inhibitory effects on platelet aggregation (P < 0.05) but no additive inhibitory effects on platelet activation when combined with PFT-μ (P > 0.05). Conclusions THC exerts a protective effect on HG-induced platelet aggregation and activation possibly through down-regulating ROS/p53 signaling pathway in human platelets in vitro. The current study may provide potential value for THC to improve thrombosis in diabetes mellitus and the related chronic metabolic diseases.

Key words: tetrahydrocurcumin, platelet aggregation, platelet activation, high glucose, reactive oxygen species

中图分类号: