实用医学杂志 ›› 2023, Vol. 39 ›› Issue (19): 2475-2482.doi: 10.3969/j.issn.1006-5725.2023.19.011

• 基础研究 • 上一篇    下一篇

miR-21-3p/p53信号通路对缺血/再灌注损伤小鼠的肾脏保护作用及其机制

雷小林1,刘燕秀2,张婵3()   

  1. 1.西安交通大学第一附属医院肾脏内科 (西安 710000 )
    2.吉安市中心人民医院消化内科 (江西 吉安 343000 )
    3.西北工业大学医学研究院 (西安 710072 )
  • 收稿日期:2023-07-11 出版日期:2023-10-10 发布日期:2023-11-22
  • 通讯作者: 张婵 E-mail:1017400472@qq.com
  • 基金资助:
    国家自然科学基金-青年科学基金项目(82200386);中国博士后科学基金-面上项目(2022M712590);陕西省自然科学基础研究计划项目-青年项目(2022JQ-881)

Protective effects and the mechanism of miR⁃21⁃3p/p53 signaling pathway on renal function in mice with renal ischemia/reperfusion injury

Xiaolin LEI1,Yanxiu LIU2,Chan. ZHANG3()   

  1. Department of Nephrology,the First Affiliated Hospital of Xi'an Jiaotong University,Xi'an 710000,China
  • Received:2023-07-11 Online:2023-10-10 Published:2023-11-22
  • Contact: Chan. ZHANG E-mail:1017400472@qq.com

摘要:

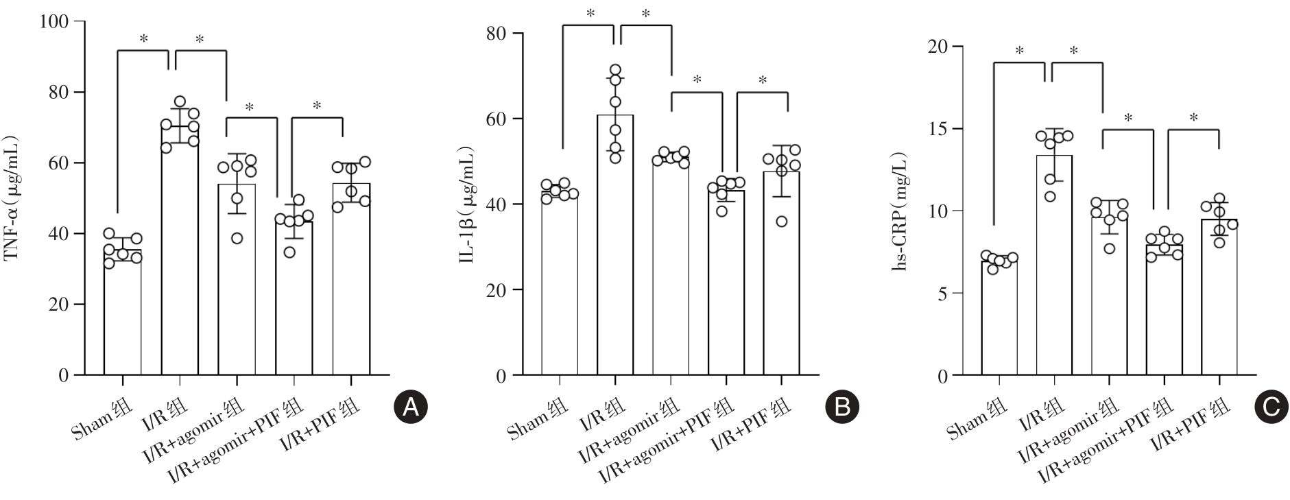
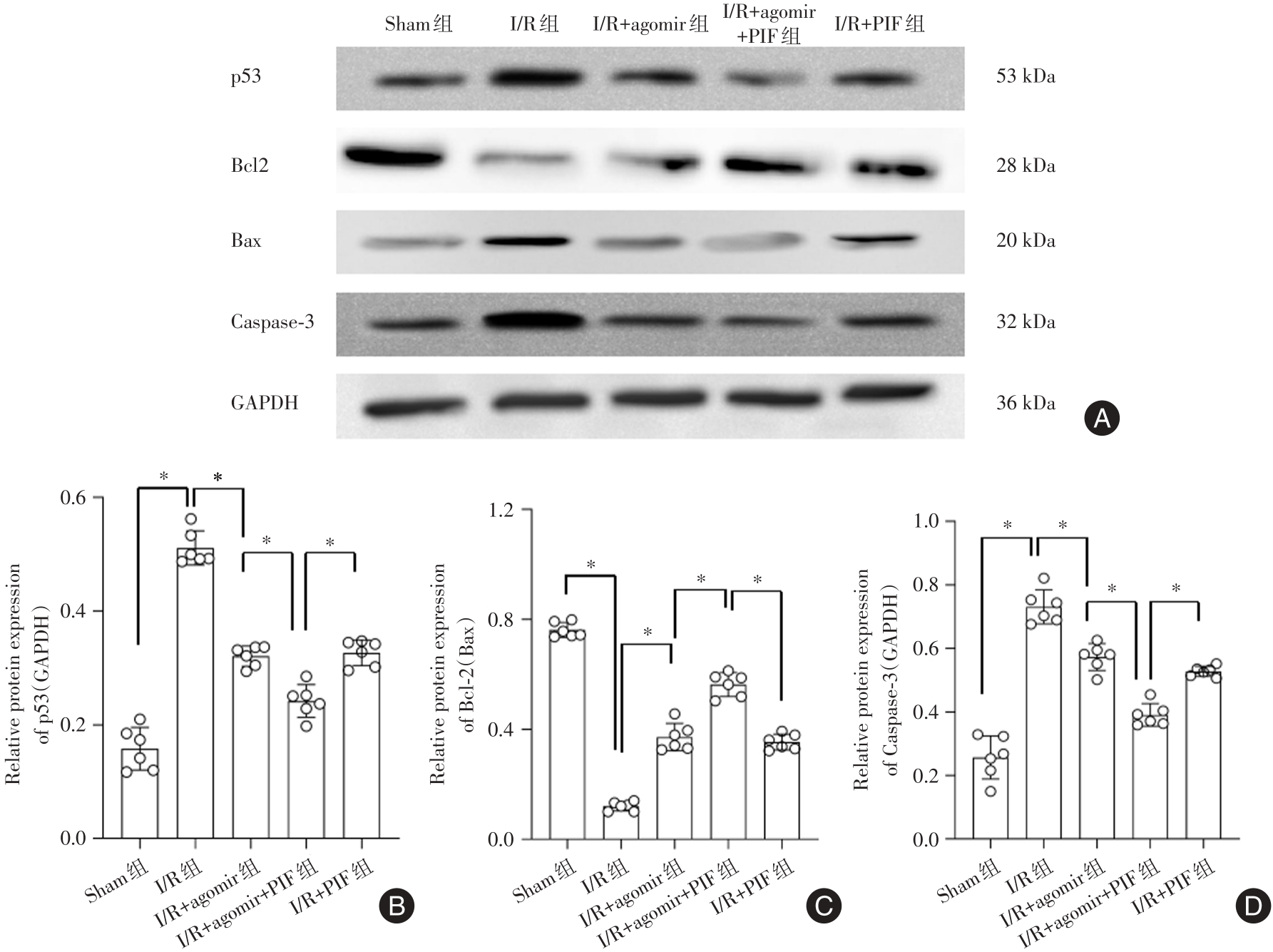
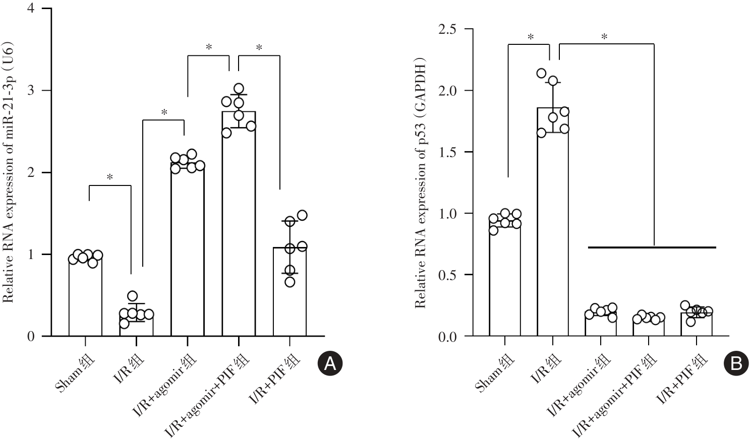
目的 观察miR-21-3p对肾缺血/再灌注(ischemia/reperfusion,I/R)损伤小鼠的影响,并探讨其肾脏保护作用是否与通过miR-21-3p/p53信号通路而调控凋亡水平有关。 方法 体内实验随机分为Sham、I/R、I/R + agomir、I/R + agomir + PIF、I/R + PIF共5组。建立小鼠肾缺血/再灌注(I/R)损伤模型;构建过表达miR-21-3p(agomiR-21-3p)小鼠,同时给予p53抑制剂Pifithrin-α(PIF)处理;采用双荧光素酶报告基因实验验证miR-21-3p与p53的互作;检测小鼠血清中肾功能指标小鼠胱抑素 C(Cys C)、尿素氮(BUN)、肌酐(Scr)的含量,以及炎症指标肿瘤坏死因子-α(TNF-α)、白细胞介素-1β(IL-1β)、超敏C反应蛋白(hs-CRP)含量水平;此外,TUNEL染色观察肾细胞凋亡情况,并检测肾组织(细胞)匀浆中细胞凋亡相关基因p53、Bax、Bcl2、Caspase-3的表达水平。 结果 与Sham组比较,I/R组小鼠肾细胞miR-21-3p表达明显降低;而与I/R组相比,I/R + agomir组、I/R + PIF组和I/R + agomir + PIF组miR-21-3p表达均明显升高(P < 0.05),而p53表达趋势相反;双荧光素酶报告基因实验证实miR-21-3p与p53存在互作关系;与Sham组比较,其他肾组织细胞凋亡率均升高;但是与I/R组相比,I/R + agomir组、I/R + PIF组和I/R + agomir + PIF组凋亡率降低,I/R + agomir + PIF组损伤最低(P < 0.05)。 结论 miR-21-3p可以通过靶向下调p53表达来抑制凋亡的发生,从而减轻肾I/R小鼠的肾损伤,发挥肾脏保护作用。

关键词: miR-21-3p, 缺血/再灌注损伤, p53, 细胞凋亡

Abstract:

Objective To observe the effect of miR-21-3p on mice with renal ischemia / reperfusion (I/R) injury and to explore whether the renal protective effect is related to the regulation of apoptosis levels through miR-21-3p/p53 signaling pathway. Methods In vivo experiments were randomly divided into five groups: Sham, I/R, I/R + agomir, I/R + agomir + PIF, and I/R + PIF. Renal I/R injury model in vivo was established, overexpressing of miR-21-3p (agomiR-21-3p) in mice were constructed and treated with the p53 inhibitor Pifithrin-α (PIF). Dual-luciferase reporter assay was used to verify the interaction between miR-21-3p and p53. Serum levels of cystain C (Cys C), blood urea nitrogen (BUN) and serum creatinine (Scr) were measured to reflect renal function of mice. Serum oxidative stress and inflammation indices were also determined, including tumor necrosis factor-alpha (TNF-α), Interleukin-1β (IL-1β), and high-sensitive c-reactive protein (hs-CRP). In addition, apoptosis rate of renal cells was visualized by TUNEL staining and the expression of apoptosis b-cell lymphoma-2 (Bcl-2), Bcl-2 assaciated X protein (Bax), p53 and caspase-3 were measured too. Results Compared with Sham group, the expression of miR-21-3p in I/R mice was significantly decreased. Compared with I/R group, the expression of miR-21-3p in the I/R + agomir group, the I/R + PIF group and the I/R + agomir + PIF group was significantly increased (P < 0.05), while the trend of p53 expression was opposite. Dual-luciferase reporter assay confirmed the interaction between miR-21-3p and p53. Compared with Sham group, the rate of cell apoptosis in all other renal tissues was increased; however, compared with the I/R group, the I/R + agomir, the I/R + PIF group and I/R + agomir + PIF groups were decreased, and the I/R + agomir + PIF group was the lowest (P < 0.05). Conclusions miR-21-3p could inhibit the development of apoptosis by targeting p53 expression, thus alleviating renal injury in mice with renal I/R.

Key words: miR-21-3p, ischemia/reperfusion injury, p53, apoptosis

中图分类号: