The Journal of Practical Medicine ›› 2026, Vol. 42 ›› Issue (7): 1225-1234.doi: 10.3969/j.issn.1006-5725.2026.07.015

• Chronic Disease Control • Previous Articles    

Construction of a nomogram prediction model for the efficacy of biofeedback therapy in patients with spastic pelvic floor syndrome

Zefeng YUAN,Qiang CHEN,Ming LUO,Bo WANG,Bin KONG()   

  1. Department of Gastrointestinal Surgery,The Third Hospital of Hebei Medical University,Shijiazhuang 050000,Hebei,China
  • Received:2025-12-10 Revised:2026-01-11 Accepted:2026-01-19 Online:2026-04-10 Published:2026-04-13
  • Contact: Bin KONG E-mail:kongtian75@hebmu.edu.cn

Abstract:

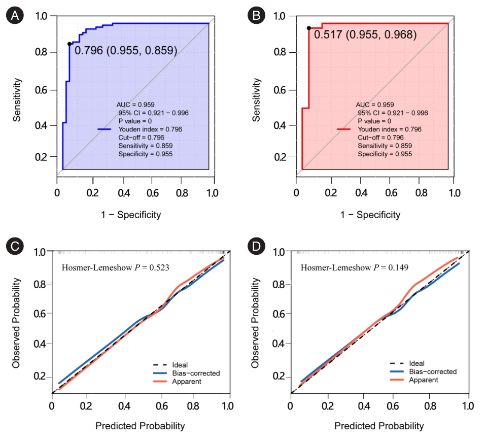
Objective To construct a prediction model based on clinical data, explore the factors influencing the efficacy of biofeedback treatment for spastic pelvic floor syndrome, and provide a basis for guiding individualized treatment through early identification of patients with poor treatment outcomes. Methods A total of 175 patients who underwent one course (10 sessions) of biofeedback treatment in the Department of Gastrointestinal Surgery, Third Hospital of Hebei Medical University, from June 2020 to June 2025, were selected for analysis. Clinical data before and after the treatment were collected. The dataset was partitioned into a training set (70%, n = 122) and a validation set (30%, n = 53). Efficacy was defined as a reduction of over 50% in the ODS score and the normalization of the anorectal manometry defecation pattern. Based on the efficacy, patients were categorized into the treatment-effective group(TE) and treatment-ineffective group(TIE). Feature variables were selected step-by-step through univariate logistic regression, Lasso regression, and multivariate logistic regression. A nomogram was constructed, and the discriminatory ability, calibration, fit, and clinical value of the model were evaluated using the receiver operating characteristic(ROC) curve, calibration curve, Hosmer-Lemeshow test, and decision curve analysis(DCA). Results Multivariate logistic regression analysis revealed that anal resting pressure, digital evacuation, use of laxatives, use of enemas, sensation of incomplete evacuation, and patient satisfaction were independent risk factors influencing treatment efficacy. The area under the curve (AUC) values for the training and validation sets were 0.959 (95%CI: 0.921-0.996) and 0.971 (95%CI: 0.918-1.000), respectively. The calibration curve indicated good calibration, and the Hosmer-Lemeshow test demonstrated no statistically significant difference between the actual and predicted probabilities in both the training and validation sets (P > 0.05). DCA curves and 5-fold cross-validation suggested that the model provided clinical net benefits within a probability range of 0.1-0.8. Conclusions This study comprehensively integrates the clinical symptoms and diagnostic indicators of SPFS patients, thereby providing a reliable prediction model for the efficacy of BFT. This integration not only aids in the identification of high-risk patients but also offers valuable evidence for clinical decision-making.

Key words: biofeedback, spastic pelvic floor syndrome, outlet obstruction constipation, prediction model

CLC Number: