The Journal of Practical Medicine ›› 2025, Vol. 41 ›› Issue (2): 278-287.doi: 10.3969/j.issn.1006-5725.2025.02.019
• Investigations • Previous Articles Next Articles
Xingyu CHEN1,Ying XIAO1,Hualiang LIN2,Lawrence Lam.1()
Received:
2024-10-21
Online:
2025-01-25
Published:
2025-01-26
Contact:
Lawrence Lam.
E-mail:tmlam@must.edu.mo
CLC Number:
Xingyu CHEN,Ying XIAO,Hualiang LIN,Lawrence Lam.. Study on the association between gaseous pollutants and cardiovascular disease hospitalization, hospitalization costs, and hospitalization days in seven cities of Guangdong province[J]. The Journal of Practical Medicine, 2025, 41(2): 278-287.
Tab.1
Descriptive statistics of daily CVD admission numbers, hospitalization costs, and length of stay in 7 cities of Guangdong from 2017 to 2019"
地区 | 日入院人数[M(P25,P75)]/例 | 日均住院费用(x ± s)/元 | 日均住院时长(x ± s)/d |
---|---|---|---|
总体 | 203(132, 292) | 4 637 528 ± 4 344 037 | 2 436.00 ± 2 673.94 |
东莞市 | 257(298, 225) | 4 734 374 ± 14 534 912 | 2 462.00 ± 645.65 |
佛山市 | 196(146, 240) | 2 792 633 ± 1 121 471 | 1 858.16 ± 668.06 |
广州市 | 766(389, 873) | 12 853 167 ± 5 409 314 | 8 757.00 ± 3 493.73 |
惠州市 | 181(151, 211) | 2 547 067 ± 879 149 | 1 447.28 ± 430.42 |
深圳市 | 279(220, 343) | 5 875 943 ± 2 232 953 | 2 940.29 ± 1 059.53 |
中山市 | 141(122, 161) | 2 296 549 ± 678 651 | 1 147.42 ± 303.45 |
珠海市 | 88(70, 103) | 1 360 887 ± 513 553 | 705.27 ± 215.08 |
Tab. 2
Gaseous pollutant on the day of admission in different study regions"
地区 | 污染物及大气相关指标 | |||||
---|---|---|---|---|---|---|
SO2/(μg/m3) | NO2/(μg/m3) | CO/(mg/m3) | O3/ppb | 温度/℃ | 相对湿度/% | |
总体 | 8.97 ± 3.58 | 37.52 ± 18.19 | 0.80 ± 0.20 | 98.22 ± 46.12 | 22.88 ± 5.22 | 77.71 ± 11.71 |
东莞市 | 9.94 ± 2.92 | 37.49 ± 13.04 | 0.83 ± 0.17 | 104.32 ± 46.38 | 22.82 ± 5.21 | 77.02 ± 12.26 |
佛山市 | 11.32 ± 4.51 | 45.13 ± 20.44 | 0.86 ± 0.22 | 100.40 ± 53.10 | 22.94 ± 5.45 | 76.11 ± 11.79 |
广州市 | 10.29 ± 3.63 | 51.12 ± 20.17 | 0.90 ± 0.21 | 100.06 ± 53.40 | 22.80 ± 5.50 | 76.36 ± 12.14 |
惠州市 | 8.74 ± 2.06 | 26.22 ± 7.73 | 0.77 ± 0.15 | 97.39 ± 33.80 | 22.20 ± 5.27 | 78.20 ± 12.47 |
深圳市 | 7.31 ± 1.87 | 31.72 ± 12.67 | 0.72 ± 0.16 | 96.13 ± 42.07 | 22.88 ± 4.96 | 78.75 ± 11.41 |
中山市 | 8.85 ± 3.36 | 37.03 ± 18.64 | 0.81 ± 0.21 | 98.66 ± 49.69 | 23.18 ± 5.19 | 77.92 ± 10.87 |
珠海市 | 6.35 ± 3.28 | 33.92 ± 18.38 | 0.73 ± 0.21 | 90.58 ± 39.83 | 23.33 ± 4.88 | 79.65 ± 10.51 |
Tab.3
Relationship between hospital admission day pollutant concentration and hospitalization-related indicators with IQR increase(n = 2 010 905)"
污染物 | IQR | 住院费用/元 | 住院时长/d | 入院人数/例 |
---|---|---|---|---|
SO2/(μg/m3) | 3.93 | 30 558.70(2 296.45 ~ 58 820.17) | 21.93(8.92 ~ 34.90) | 0.02(0.01 ~ 0.04) |
NO2/(μg/m3) | 20.68 | 285 600.07(116 245.81 ~ 454 954.33) | 159.07(65.57 ~ 252.36) | 0.08(0.06 ~ 0.08) |
CO/(mg/m3) | 0.24 | 195 413.45(46 655.96 ~ 344 170.97) | 114.49(29.81 ~ 199.17) | 0.04(0.03 ~ 0.06) |
O3/ppb | 62.24 | -44 369.83(-83 995.42 ~ -4 743.62) | -25.52(-48.54 ~ -1.87) | -0.02(-0.03 ~ -0.01) |
Tab.4
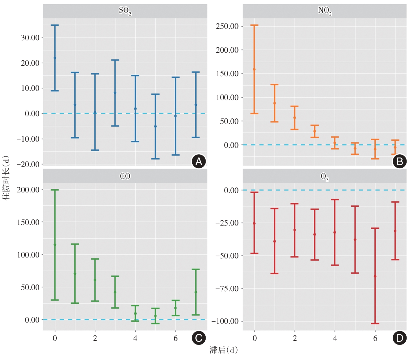
The associations of air pollution increasing(each IQR) with hospital admission, hospital cost and the length of hospitalization in different lag days(0-7days)"
污染物 | 住院费用/元 | 住院时长/d | 入院人数/例 |
---|---|---|---|
SO2/(μg/m3) | |||
lag0 | 30 558.70(2 296.45 ~ 58 820.17) | 21.93(8.92 ~ 34.90) | 0.024(0.012 ~ 0.035) |
lag1 | -7 231.70(-35 198.54 ~ 20 735.14) | 3.31(-9.56 ~ 16.64) | 0.004(-0.008 ~ 0.016) |
lag2 | -16 282.90(-48 286.83 ~ 15 721.07) | 0.51(-14.58 ~ 15.65) | 0.004(-0.004 ~ 0.016) |
lag3 | -6 687.03(-34 863.79 ~ 21 489.68) | 8.05(-4.93 ~ 21.02) | 0.012(0.001 ~ 0.020) |
lag4 | -12 062.38(-40 318.95 ~ 16 194.23) | 1.90(-11.17 ~ 14.93) | 0.004(-0.008 ~ 0.016) |
lag5 | -25 636.38(-53 424.58 ~ 2 151.82) | -5.19(-17.97 ~ 7.59) | 0.002(-0.008 ~ 0.012) |
lag6 | -29 349.36(-66 965.86 ~ 8 267.18) | -1.07(-16.39 ~ 14.25) | 0.004(-0.004 ~ 0.012) |
lag7 | -9 179.33(-37 148.54 ~ 18 789.91) | 3.40(-9.52 ~ 16.28) | 0.008(-0.004 ~ 0.016) |
NO2/(μg/m3) | |||
lag0 | 285 600.07(116 245.81 ~ 454 954.33) | 159.07(65.57 ~ 252.36) | 0.083(0.062 ~ 0.083) |
lag1 | 151 761.50(73 317.46 ~ 230 205.75) | 87.35(48.11 ~ 126.37) | 0.062(0.041 ~ 0.062) |
lag2 | 104 038.72(46 489.42 ~ 161 588.01) | 56.28(32.07 ~ 80.49) | 0.041(0.041 ~ 0.062) |
lag3 | 42 984.28(15 660.55 ~ 70 308.00) | 27.96(15.33 ~ 40.39) | 0.041(0.021 ~ 0.041) |
lag4 | 10 425.93(-16 602.16 ~ 37 454.02) | 3.50(-8.84 ~ 16.04) | 0.021(0.004 ~ 0.021) |
lag5 | -17 451.57(-44 048.54 ~ 9 145.19) | -8.45(-20.39 ~ 3.71) | 0.004(-0.006 ~ 0.012) |
lag6 | -55 402.00(-107 039.86 ~ -3 764.35) | -9.69(-30.30 ~ 10.72) | 0.002(-0.006 ~ 0.010) |
lag7 | -32 865.88(-70 458.52 ~ 4 726.98) | -5.95(-20.74 ~ 9.03) | 0.002(-0.002 ~ 0.006) |
CO/(mg/m3) | |||
lag0 | 195 413.45(46 655.96 ~ 344 170.97) | 114.49(29.81 ~ 199.17) | 0.044(0.030 ~ 0.058) |
lag1 | 103 140.70(25 622.38 ~ 180 659.02) | 70.42(24.98 ~ 115.86) | 0.032(0.018 ~ 0.047) |
lag2 | 100 007.58(36 388.17 ~ 163 626.98) | 60.75(28.46 ~ 93.03) | 0.032(0.021 ~ 0.044) |
lag3 | 62 149.42(24 572.96 ~ 99 725.87) | 42.14(17.85 ~ 66.43) | 0.025(0.016 ~ 0.033) |
lag4 | 19 549.30(-6 269.75 ~ 45 368.35) | 9.47(-2.28 ~ 21.22) | 0.009(0.000 ~ 0.018) |
lag5 | 12 588.68(-13 202.60 ~ 38 379.97) | 5.35(-6.27 ~ 16.98) | 0.006(-0.002 ~ 0.015) |
lag6 | 36 214.61(10 463.29 ~ 61 965.91) | 17.80(6.13 ~ 29.47) | 0.014(0.005 ~ 0.022) |
lag7 | 96 602.30(20 196.48 ~ 173 008.11) | 42.06(7.28 ~ 76.84) | 0.019(0.010 ~ 0.028) |
O3/ppb | |||
lag0 | -44 369.83(-83 995.42,-4 743.62) | -25.52(-48.54 ~ -1.87) | -0.019(-0.031 ~ -0.006) |
lag1 | -87 165.14(-140 029.81 ~ -34 300.46) | -39.30(-63.63 ~ -14.35) | -0.031(-0.044 ~ -0.019) |
lag2 | -58 685.40(-97 777.31 ~ -19 594.11) | -30.45(-50.95 ~ -10.56) | -0.031(-0.037 ~ -0.019) |
lag3 | -47 380.94(-79 263.33 ~ -15 498.56) | -34.12(-53.35 ~ -14.89) | -0.019(-0.031 ~ -0.012) |
lag4 | -57 239.95(-97 995.12 ~ -16 484.78) | -32.36(-57.25 ~ -7.47) | -0.019(-0.031 ~ -0.012) |
lag5 | -67 479.32(-110 942.25 ~ -24 016.39) | -37.91(-63.39 ~ -12.43) | -0.025(-0.031 ~ -0.012) |
lag6 | -137 894.93(-217 073.00 ~ -58 717.47) | -65.83(-101.85 ~ 29.19) | -0.031(-0.043 ~ -0.025) |
lag7 | -65 620.39(-116 279.14 ~ -14 961.63) | -31.26(-53.14 ~ 9.38) | -0.019(-0.031 ~ -0.013) |
Tab.5
Relationship between pollutant concentrations(per IQR increase) and hospital admission numbers, costs, and length of stay at different smooth lagged days (Slag)"
污染物 | 住院费用/元 | 住院时长/d | 入院人数/例 |
---|---|---|---|
SO2/(μg/m3) | |||
Slag0 | 30 558.70(2 296.45 ~ 58 820.17) | 21.93(8.92 ~ 34.90) | 0.02(0.01 ~ 0.04) |
Slag01 | 4 663.67(-26 052.12 ~ 35 379.45) | 10.02(-4.17 ~ 24.21) | 0.010(0.00 ~ 0.02) |
Slag02 | -15 310.91(-47 864.71 ~ 17 242.89) | 0.71(-14.34 ~ 15.76) | 0.005(-0.01 ~ 0.02) |
Slag03 | -24 564.79(-58 895.70 ~ 9 766.12) | -4.80(-22.85 ~ 13.25) | -0.005(-0.02 ~ 0.01) |
Slag04 | -34 467.89(-71 506.17 ~ 2 570.38) | -18.14(-46.54 ~ 10.26) | -0.01(-0.03 ~ 0.01) |
Slag05 | -50 794.01(-94 679.85 ~ -6 908.17) | -28.22(-62.49 ~ 6.06) | -0.01(-0.04 ~ 0.01) |
Slag06 | -69 336.77(-126 536.58 ~ -12 136.96) | -34.44(-75.05 ~ 6.17) | -0.02(-0.04 ~ 0.01) |
Slag07 | -76 510.10(-138 882.73 ~ -14 137.47) | -33.62(-74.60 ~ 7.36) | -0.02(-0.04 ~ 0.01) |
NO2/(μg/m3) | |||
Slag0 | 285 600.07(116 245.81 ~ 454 954.33) | 159.07(65.57 ~ 252.36) | 0.08(0.06 ~ 0.08) |
Slag01 | 289 071.57(128 149.22 ~ 449 993.91) | 115.04(70.50 ~ 159.57) | 0.08(0.07 ~ 0.10) |
Slag02 | 288 746.45(132 747.11 ~ 444 745.80) | 114.54(71.55 ~ 157.52) | 0.09(0.08 ~ 0.10) |
Slag03 | 261 307.75(121 995.39 ~ 400 620.12) | 104.39(65.39 ~ 143.40) | 0.09(0.08 ~ 0.10) |
Slag04 | 205 004.05(96 882.04 ~ 313 126.07) | 83.64(52.15 ~ 115.14) | 0.09(0.08 ~ 0.10) |
Slag05 | 109 710.03(69 034.11 ~ 150 385.94) | 59.86(41.49 ~ 78.23) | 0.08(0.06 ~ 0.09) |
Slag06 | 91 649.97(48 884.47 ~ 134 415.46) | 55.70(36.34 ~ 75.05) | 0.07(0.06 ~ 0.08) |
Slag07 | 80 561.63(35 757.80 ~ 125 365.45) | 52.29(31.97 ~ 72.60) | 0.07(0.05 ~ 0.08) |
CO/(mg/m3) | |||
Slag0 | 195 413.45(46 655.96 ~ 344 170.97) | 114.49(29.81 ~ 199.17) | 0.04(0.03 ~ 0.06) |
Slag01 | 175 421.46(76 886.76 ~ 273 956.15) | 78.50(37.70 ~ 119.31) | 0.05(0.03 ~ 0.06) |
Slag02 | 194 635.55(67 467.72 ~ 321 803.39) | 86.98(43.43 ~ 130.53) | 0.05(0.03 ~ 0.07) |
Slag03 | 219 403.07(64 601.27 ~ 374 204.88) | 89.87(45.17 ~ 134.57) | 0.05(0.04 ~ 0.07) |
Slag04 | 155 809.46(70 568.64 ~ 241 050.28) | 84.06(40.71 ~ 127.40) | 0.05(0.03 ~ 0.06) |
Slag05 | 135 174.87(60 941.56 ~ 209 408.19) | 78.62(37.63 ~ 119.60) | 0.05(0.03 ~ 0.06) |
Slag06 | 151 785.32(73 206.15 ~ 230 364.50) | 81.34(40.45 ~ 122.23) | 0.05(0.03 ~ 0.06) |
Slag07 | 163 255.68(78 875.58 ~ 247 635.78) | 91.53(45.70 ~ 137.36) | 0.05(0.04 ~ 0.06) |
O3/ppb | |||
Slag0 | -44 369.83(-83 995.42,-4 743.62) | -25.52(-48.54 ~ -1.87) | -0.02(-0.03 ~ -0.01) |
Slag01 | -94 701.31(-132 070.35 ~ -57 332.27) | -42.24(-60.81 ~ -23.66) | -0.04(-0.05 ~ -0.03) |
Slag02 | -133 840.18(-188 688.10 ~ -78 992.27) | -60.34(-84.18 ~ -36.51) | -0.05(-0.06 ~ -0.04) |
Slag03 | -164 671.25(-232 339.50 ~ -97 002.99) | -73.46(-100.80 ~ -46.11) | -0.06(-0.07 ~ -0.05) |
Slag04 | -200 065.91(-287 386.24 ~ -112 745.58) | -87.53(-120.24 ~ -54.82) | -0.07(-0.08 ~ -0.06) |
Slag05 | -239 700.3(-352 573.55 ~ -126 827.06) | -102.03(-142.13 ~ -61.93) | -0.07(-0.08 ~ -0.06) |
Slag06 | -289 964.52(-433 509.27 ~ -146 419.78) | -120.38(-170.59 ~ -70.18) | -0.08(-0.09 ~ -0.07) |
Slag07 | -326 699.87(-493 917.78 ~ -159 481.97) | -133.83(-192.19 ~ -75.47) | -0.09(-0.10 ~ -0.07) |
Tab.6
Combined effects of multiple pollutant concentrations on hospitalization-related indicators on admission day xˉ(95%CI)"
污染物 | 住院费用/元 | 住院时长/d | 入院人数/例 |
---|---|---|---|
NO2/(μg/m3) | |||
+SO2 | 527 621.39(208 847.33, 846 395.44) | 213.21(115.02, 311.39) | 0.14(0.10, 0.18) |
+CO | 217 643.62(94 225.91, 341 061.34) | 92.66(49.07, 136.24) | 0.08(0.06, 0.09) |
+O3 | 376 843.55(141 893.50, 611 793.60) | 147.92(86.54, 209.30) | 0.10(0.08, 0.12) |
SO2/(μg/m3) | |||
+NO2 | 31 053.07(-59 139.994, 121 246.13) | 14.30(-1.51, 30.11) | 0.02(0.01, 0.03) |
+CO | -25 337.60(-64 785.64, 14 110.43) | -7.73(-26.88, 11.42) | 0.00(-0.01, 0.01) |
+O3 | 63 734.96(23 695.79, 103 774.14) | 42.32(20.85, 63.79) | 0.04(0.03, 0.05) |
CO/(mg/m3) | |||
+NO2 | 427 942.00(196 255.18, 659 628.90) | 30.76(0.92, 60.60) | 0.10(-0.08, 0.29) |
+SO2 | 225 073.30(43 033.64, 407 112.97) | 80.33(39.24, 121.42) | 0.73(0.45, 1.00) |
+O3 | 517 623.10(285 298.32, 749 947.90) | 85.87(45.04, 126.70) | 0.83(0.58, 1.07) |
O3/ppb | |||
+NO2 | -207 880.04(-337 896.10, -77 863.97) | -84.86(-124.14, -45.58) | -0.06(-0.07, -0.05) |
+SO2 | -88 629.05(-132 347.55, -44 910.55) | -48.28(-70.31, -26.25) | -0.04(-0.05, -0.03) |
+CO | -91 279.05(-136 136.18, -46 421.93) | -49.71(-75.42, -24.00) | -0.03(-0.04, -0.02) |
1 | WHO. Invisible numbers: The true extent of noncommunicable diseases and what to do about them[EB/OL](2022-09-15)[2024-10-21]. . |
2 |
BROOK R D, RAJAGOPALAN S, POPE C A 3rd, et al. Particulate matter air pollution and cardiovascular disease: An update to the scientific statement from the American Heart Association [J]. Circulation, 2010, 121(21): 2331-2378. doi:10.1161/cir.0b013e3181dbece1
doi: 10.1161/cir.0b013e3181dbece1 |
3 | MÜNZEL T, SØRENSEN M, GORI T, et al. Environmental stressors and cardio-metabolic disease: Part II-mechanistic insights[J]. Eur Heart J, 2017, 38(8): 557-564. |
4 |
YANG B Y, GUO Y, MARKEVYCH I, et al. Association of Long-term Exposure to Ambient Air Pollutants With Risk Factors for Cardiovascular Disease in China[J]. JAMA Netw Open, 2019, 2(3): e190318. doi:10.1001/jamanetworkopen.2019.0318
doi: 10.1001/jamanetworkopen.2019.0318 |
5 |
LI Z, LIU M, WU Z, et al. Association between ambient air pollution and hospital admissions, length of hospital stay and hospital cost for patients with cardiovascular diseases and comorbid diabetes mellitus: Base on 1,969,755 cases in Beijing, China, 2014-2019 [J]. Environ Int, 2022, 165:107301. doi:10.1016/j.envint.2022.107301
doi: 10.1016/j.envint.2022.107301 |
6 |
XIE Y, LI Z, ZHONG H, et al. Short-Term Ambient Particulate Air Pollution and Hospitalization Expenditures of Cause-Specific Cardiorespiratory Diseases in China: A Multicity Analysis [J]. Lancet Reg Health West Pac, 2021, 15:100232. doi:10.1016/j.lanwpc.2021.100232
doi: 10.1016/j.lanwpc.2021.100232 |
7 |
LIU Y, GUO M, WANG J, et al. Effect of short-term exposure to air pollution on hospital admission for cardiovascular disease: A time-series study in Xiangyang, China [J]. Sci Total Environ, 2024, 918:170735. doi:10.1016/j.scitotenv.2024.170735
doi: 10.1016/j.scitotenv.2024.170735 |
8 |
LIU M, YU J, ZHU A, et al. Association Between Air Pollution and Coronary Heart Disease Hospitalizations in Lanzhou City, 2013-2020: A Time Series Analysis [J]. J Urban Health, 2023, 100(6): 1246-1257. doi:10.1007/s11524-023-00797-w
doi: 10.1007/s11524-023-00797-w |
9 |
ZHOU Y, JIN Y, ZHANG Z. Short-term exposure to various ambient air pollutants and emergency department visits for cause-stable ischemic heart disease: A time-series study in Shanghai, China [J]. Sci Rep, 2023, 13(1): 16989. doi:10.1038/s41598-023-44321-1
doi: 10.1038/s41598-023-44321-1 |
10 |
NOURI F, TAHERI M, ZIADDINI M, et al. Effects of sulfur dioxide and particulate matter pollution on hospital admissions for hypertensive cardiovascular disease: A time series analysis [J]. Front Physiol, 2023, 14:1124967. doi:10.3389/fphys.2023.1124967
doi: 10.3389/fphys.2023.1124967 |
11 |
MOTESADDI ZARANDI S, HADEI M, HASHEMI S S, et al. Effects of ambient air pollutants on hospital admissions and deaths for cardiovascular diseases: A time series analysis in Tehran [J]. Environ Sci Pollut Res Int, 2022, 29(12): 17997-18009. doi:10.1007/s11356-021-17051-y
doi: 10.1007/s11356-021-17051-y |
12 |
CZERNYCH R, BADYDA A J, KOZERA G, et al. Assessment of Low-Level Air Pollution and Cardiovascular Incidence in Gdansk, Poland: Time-Series Cross-Sectional Analysis [J]. J Clin Med, 2023, 12(6):2206. doi:10.3390/jcm12062206
doi: 10.3390/jcm12062206 |
13 |
DONG T F, ZHA Z Q, SUN L, et al. Ambient nitrogen dioxide and cardiovascular diseases in rural regions: A time-series analyses using data from the new rural cooperative medical scheme in Fuyang, East China [J]. Environ Sci Pollut Res Int, 2023, 30(18): 51412-51421. doi:10.1007/s11356-023-25922-9
doi: 10.1007/s11356-023-25922-9 |
14 |
SAUCY A, DE HOOGH K, VIENNEAU D, et al. Mutual effects of fine particulate matter, nitrogen dioxide, and fireworks on cause-specific acute cardiovascular mortality: A case-crossover study in communities affected by aircraft noise [J]. Environ Pollut, 2021, 291:118066. doi:10.1016/j.envpol.2021.118066
doi: 10.1016/j.envpol.2021.118066 |
15 |
YOU J, LIU Y, DONG J, et al. Ambient carbon monoxide and the risk of cardiovascular disease emergency room visits: A time-series study in Lanzhou, China [J]. Environ Geochem Health, 2023, 45(11): 7621-7636. doi:10.1007/s10653-023-01653-1
doi: 10.1007/s10653-023-01653-1 |
16 |
FENG Y T, LANG C F, CHEN C, et al. Association between air pollution exposure and coronary heart disease hospitalization in a humid sub-tropical region of China: A time-series study [J]. Front Public Health, 2022, 10:1090443. doi:10.3389/fpubh.2022.1090443
doi: 10.3389/fpubh.2022.1090443 |
17 |
RUS A A, PESCARIU S A, ZUS A S, et al. Impact of Short-Term Exposure to Nitrogen Dioxide (NO(2)) and Ozone (O(3)) on Hospital Admissions for Non-ST-Segment Elevation Acute Coronary Syndrome [J]. Toxics, 2024, 12(2): 123. doi:10.3390/toxics12020123
doi: 10.3390/toxics12020123 |
18 |
MENG Y, LIU Z, HAO J, et al. Association between ambient air pollution and daily hospital visits for cardiovascular diseases in Wuhan, China: A time-series analysis based on medical insurance data [J]. Int J Environ Health Res, 2023, 33(5): 452-463. doi:10.1080/09603123.2022.2035323
doi: 10.1080/09603123.2022.2035323 |
19 |
FANG Y, CHENG H, LI X, et al. Short-term exposure to ambient air pollution and atrial fibrillation hospitalization: A time-series study in Yancheng, China [J]. Ecotoxicol Environl Saf, 2021, 228:112961. doi:10.1016/j.ecoenv.2021.112961
doi: 10.1016/j.ecoenv.2021.112961 |
20 |
BYRNE C P, BENNETT K E, HICKEY A, et al. Short-Term Air Pollution as a Risk for Stroke Admission: A Time-Series Analysis [J]. Cerebrovasc Dis, 2020, 49(4): 404-411. doi:10.1159/000510080
doi: 10.1159/000510080 |
21 |
YU J, ZHU A, LIU M, et al. Association Between Air Pollution and Cardiovascular Disease Hospitalizations in Lanzhou City, 2013-2020: A Time Series Analysis [J]. Geohealth, 2024, 8(1): e2022GH000780. doi:10.1029/2022gh000780
doi: 10.1029/2022gh000780 |
22 |
CAO X, YOU X, WANG D, et al. Short-term effects of ambient ozone exposure on daily hospitalizations for circulatory diseases in Ganzhou, China: A time-series study [J]. Chemosphere, 2023, 327:138513. doi:10.1016/j.chemosphere.2023.138513
doi: 10.1016/j.chemosphere.2023.138513 |
23 |
WEI Y, FEI L, WANG Y, et al. A time-series analysis of short-term ambient ozone exposure and hospitalizations from acute myocardial infarction in Henan, China [J]. Environ Sci Pollut Res Int, 2023, 30(40): 93242-93254. doi:10.1007/s11356-023-28456-2
doi: 10.1007/s11356-023-28456-2 |
24 |
ZHU L, FANG J, YAO Y, et al. Long-term ambient ozone exposure and incident cardiovascular diseases: National cohort evidence in China[J]. J Hazar Mater, 2024, 471:134158. doi:10.1016/j.jhazmat.2024.134158
doi: 10.1016/j.jhazmat.2024.134158 |
25 |
JIANG Y, HUANG J, LI G, et al. Ozone pollution and hospital admissions for cardiovascular events [J]. Eur Heart J, 2023, 44(18):1622-1632. doi:10.1093/eurheartj/ehad091
doi: 10.1093/eurheartj/ehad091 |
26 |
ZHANG Y, MA Y, SHEN J, et al. Effect of ambient O3 on mortality due to circulatory and respiratory diseases in a high latitude city of northeast China [J]. Environ Sci Pollut Res Int, 2022, 29(45): 67776-67786. doi:10.1007/s11356-022-20585-4
doi: 10.1007/s11356-022-20585-4 |
27 |
WU H, LU K, FU J. A Time-Series Study for Effects of Ozone on Respiratory Mortality and Cardiovascular Mortality in Nanchang, Jiangxi Province, China [J]. Front Public Health, 2022, 10:864537. doi:10.3389/fpubh.2022.864537
doi: 10.3389/fpubh.2022.864537 |
28 |
KHAJAVI A, HASHEMI-MADANI N, HASSANVAND M S, et al. Ambient Air Pollution and Incident Cardiovascular Disease in People with Type 2 Diabetes Mellitus: A cohort study [J]. J Occup Environ Med, 2024, 66(10):e500-e505. doi:10.1097/jom.0000000000003193
doi: 10.1097/jom.0000000000003193 |
29 | CHEN Z, LIU N, TANG H, et al. Health effects of exposure to sulfur dioxide, nitrogen dioxide, ozone, and carbon monoxide between 1980 and 2019: A systematic review and meta-analysis [J]. Indoor Air, 2022, 32(11): e13170. |
30 |
LIAO M, BRAUNSTEIN Z, RAO X. Sex differences in particulate air pollution-related cardiovascular diseases: A review of human and animal evidence [J].Sci Total Environ, 2023, 884:163803. doi:10.1016/j.scitotenv.2023.163803
doi: 10.1016/j.scitotenv.2023.163803 |
31 |
WANG X B, DU J B, CUI H. Sulfur dioxide, a double-faced molecule in mammals [J]. Life Sci, 2014, 98(2): 63-67. doi:10.1016/j.lfs.2013.12.027
doi: 10.1016/j.lfs.2013.12.027 |
32 |
DU X, JIANG Y, LI H, et al. Traffic-related air pollution and genome-wide DNA methylation: A randomized, crossover trial [J]. Sci Total Environ, 2022, 850:157968. doi:10.1016/j.scitotenv.2022.157968
doi: 10.1016/j.scitotenv.2022.157968 |
33 |
XING M, LIU W, LI X, et al. Vapor isotopic evidence for the worsening of winter air quality by anthropogenic combustion-derived water [J]. Proc Natl Acad Sci U S A, 2020, 117(52): 33005-33010. doi:10.1073/pnas.1922840117
doi: 10.1073/pnas.1922840117 |
34 |
BAYRAMOGLU A, KOCAK A O, KADIOGLU E. Ischemic stroke due to carbon monoxide intoxication: Two case reports [J]. World J Emerg Med, 2018, 9(1): 73-75. doi:10.5847/wjem.j.1920-8642.2018.01.013
doi: 10.5847/wjem.j.1920-8642.2018.01.013 |
35 |
HASHEMZAEI M, BARANI A K, IRANSHAHI M, et al. Effects of resveratrol on carbon monoxide-induced cardiotoxicity in rats [J]. Environ Toxicol Pharmacol, 2016, 46:110-115. doi:10.1016/j.etap.2016.07.010
doi: 10.1016/j.etap.2016.07.010 |
36 |
PANDOLFI S, CHIRUMBOLO S, FRANZINI M, et al. Oxygen-ozone therapy for myocardial ischemic stroke and cardiovascular disorders [J]. Med Gas Res, 2024, 15(1):36-43. doi:10.4103/mgr.medgasres-d-23-00013
doi: 10.4103/mgr.medgasres-d-23-00013 |
37 |
ZHANG D, CHEN W, CHENG C, et al. Air pollution exposure and heart failure: A systematic review and meta-analysis [J]. Sci Total Environ, 2023, 872:162191. doi:10.1016/j.scitotenv.2023.162191
doi: 10.1016/j.scitotenv.2023.162191 |
38 |
ZONG Z, ZHANG M, XU K, et al. Association between Short-Term Exposure to Ozone and Heart Rate Variability: A Systematic Review and Meta-Analysis [J]. Int J Environ Res Public Health, 2022, 19(18): 11186. doi:10.3390/ijerph191811186
doi: 10.3390/ijerph191811186 |
39 |
TIAN L, CHU N, YANG H, et al. Acute ozone exposure can cause cardiotoxicity: Mitochondria play an important role in mediating myocardial apoptosis [J]. Chemosphere, 2021, 268:128838. doi:10.1016/j.chemosphere.2020.128838
doi: 10.1016/j.chemosphere.2020.128838 |
[1] | Xing CHEN,Yan DENG. The role of glutamine metabolic reprogramming in macrophages in cardiovascular disease [J]. The Journal of Practical Medicine, 2024, 40(22): 3262-3267. |
[2] | Li′na MA,Zhenhua CAO,Bing. YANG. Correlation between sdLDL⁃C, CXCL12 and CVD in diabetic patients [J]. The Journal of Practical Medicine, 2023, 39(22): 2953-2957. |
[3] | Xiaoxia WANG,Qiao HUANG,Min PENG,Tiemei. SHEN. Application of evidence⁃based standardized hospital discharge preparation service in elderly patients [J]. The Journal of Practical Medicine, 2023, 39(22): 3005-3009. |
[4] |
LI Rou, LING Feixiang, MA Libing..
The application and the current research status of vaccine in respiratoryinfectious diseases [J]. The Journal of Practical Medicine, 2023, 39(1): 6-11. |
[5] |
CHEN Le, QIU Yiling, JIANG Yanping. .
Experience of implementing extracorporeal membrane oxygenation in the management of pregnant females complicated with critical cardiovascular diseases [J]. The Journal of Practical Medicine, 2022, 38(24): 3135-3140. |
[6] |
LIU Xinmi, LIU Jing, WU Shanshan.
Research progress and challenges on the impact of air pollution on assisted reproductive technology [J]. The Journal of Practical Medicine, 2022, 38(21): 2639-2642. |
[7] |
LI Liu, YU Jianhua. .
Research progress on risk factors and prevention and treatment of AIDS ⁃related cardiovascular diseases [J]. The Journal of Practical Medicine, 2021, 37(20): 2687-2691. |
[8] | NI Guo⁃ hua, LI Kun, YUAN Qiong. Pharmaceutical care for COVID ⁃ 19 patients with cardiovascular disease using antiviral drugs [J]. The Journal of Practical Medicine, 2020, 36(23): 3169-3173. |
Viewed | ||||||
Full text |
|
|||||
Abstract |
|
|||||