实用医学杂志 ›› 2026, Vol. 42 ›› Issue (3): 531-540.doi: 10.3969/j.issn.1006-5725.2026.03.023

• 论著·临床实践 • 上一篇    

压力控制容量保证通气模式对心脏瓣膜手术患者呼吸力学、心肌损伤及术后肺部并发症的影响

卜林1(),胡书群2,晁亚丽1,张胜楠1,周敏1,徐慧琳1   

  1. 1.徐州医科大学附属医院,重症医学科,(江苏 徐州 221000 )
    2.徐州医科大学附属医院,急诊医学科,(江苏 徐州 221000 )
  • 收稿日期:2025-11-12 出版日期:2026-02-10 发布日期:2026-02-09
  • 通讯作者: 卜林 E-mail:bym68839@163.com
  • 基金资助:
    江苏省卫生健康委员会重点项目(K2023020)

The influence of pressure regulated volume controlled ventilation mode on respiratory mechanics, myocardial injury and postoperative pulmonary complications in patients undergoing cardiac valve surgery

Lin BU1(),Shuqun HU2,Yali CHAO1,Shengnan ZHANG1,Min ZHOU1,Huilin XU1   

  1. 1.Critical Care Medicine,Affiliated Hospital of Xuzhou Medical University,Xuzhou 221000,Jiangsu,Chin
    a2Department of Emergency Medicine,Affiliated Hospital of Xuzhou Medical University,Xuzhou 221000,Jiangsu,China
  • Received:2025-11-12 Online:2026-02-10 Published:2026-02-09
  • Contact: Lin BU E-mail:bym68839@163.com

摘要:

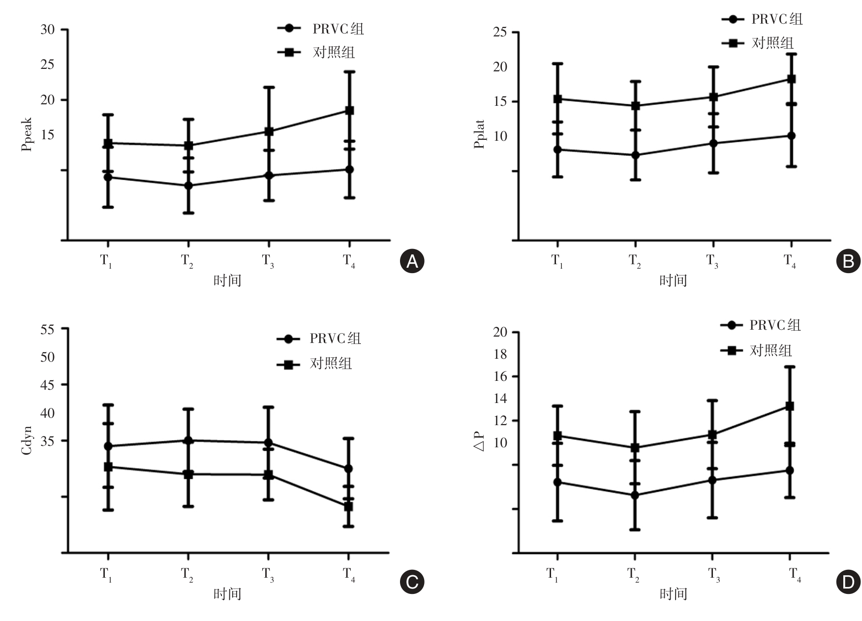
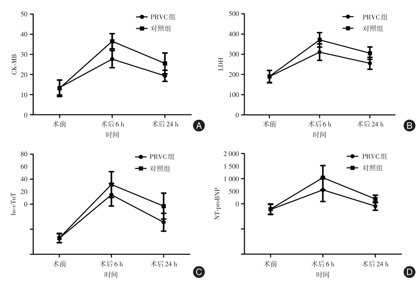
目的 基于呼吸力学、心肌损伤、术后肺部并发症来探讨压力控制容量保证通气模式(PRVC)用于心脏瓣膜手术的价值。 方法 前瞻性纳入2024年1月至2025年10月徐州医科大学附属医院收治的择期行心脏瓣膜置换或修复术患者,严格纳入与排除标准后最终入组100例,以分层区组随机化方法按1∶1比例将患者分配至PRVC组(n = 50)与对照组(n = 50,容量控制通气模式),比较两组手术不同时间呼吸力学、氧合状态,测定术前术后肌酸激酶同工酶(CK-MB)、乳酸脱氢酶(LDH)、超敏肌钙蛋白T(hs-cTnT)、N端脑钠肽前体(NT-proBNP)水平,记录术后7 d内肺部并发症发生情况。 结果 不同时间点,PRVC组Ppeak、Pplat、△P均低于对照组,Cdyn高于对照组,存在组间与时间效应(P < 0.05),Ppeak存在交互效应(P < 0.05);不同时间点,PRVC组PaO2、OI均高于对照组,RI、PA-aO2低于对照组,存在组间与时间效应(P < 0.05),其中PaO2、PA-aO2存在交互效应(P < 0.05);术后6、24 h两组CK-MB、LDH、hs-cTnT、NT-proBNP均高于同组术前,PRVC组术后6、24 h CK-MB、LDH、hs-cTnT、NT-proBNP低于对照组,存在组间、时间及交互效应(P < 0.05);PRVC组拔管时间、ICU停留时间及总住院时间短于对照组(P < 0.05),术后总肺部并发症发生率显著低于对照组(P < 0.05)。 结论 PRVC模式用于心脏瓣膜手术较VCV模式对呼吸力学、氧合影响更小,肺保护作用显著,可减轻心肌损伤,减少肺部并发症。

关键词: 心脏瓣膜手术, 通气模式, 压力控制容量保证通气, 容量控制通气, 肺保护, 呼吸力学

Abstract:

Objective To explore the value of pressure regulated volume-controlled ventilation mode (PRVC) in cardiac valve surgery based on respiratory mechanics, myocardial injury and postoperative pulmonary complications. Methods A prospective study included patients admitted to the affiliated Hospital of Xuzhou Medical University for elective cardiac valve replacement or repair from January 2024 to October 2025. After strict inclusion and exclusion criteria, a total of 100 cases were finally enrolled. Patients were assigned to the PRVC group (n = 50) and the control group (n = 50, volume-controlled ventilation mode) in a 1∶1 ratio by stratified block randomization. The respiratory mechanics and oxygenation status of the two groups at different times after surgery were compared. The levels of creatine kinase isoenzyme (CK-MB), lactate dehydrogenase (LDH), hypersensitive troponin T (hs-cTnT), and N-terminal pro-brain natriuretic peptide (NT-proBNP) before and after surgery were determined. The occurrence of pulmonary complications within 7 days after surgery was recorded. Results At different time points, the Ppeak, Pplat and △P in the PRVC group were all lower than those in the control group, while Cdyn was higher, with intergroup and time effects (P < 0.05), and with an interaction effect on PpeakP < 0.05). At different time points, the PRVC group had higher PaO2 and OI, while lower RI and PA-aO2 were lower, with intergroup and time effects (P < 0.05), among which there was an interaction effect of PaO2 and PA-aO2P < 0.05). At 6 hours and 24 hours after surgery, the levels of CK-MB, LDH, hs-cTnT and NT-proBNP in both groups were higher than those before surgery in the same group, and those in the PRVC group were lower. There were intergroup, time and interaction effects (P < 0.05). The extubation time, ICU stay time and total hospital stay in the PRVC group were shorter (P < 0.05), and the total incidence of postoperative pulmonary complications was significantly lower (P < 0.05). Conclusions The PRVC mode used in cardiac valve surgery has less impact on respiratory mechanics and oxygenation than the VCV mode, has a significant lung-protective effect, can reduce myocardial injury and decrease pulmonary complications.

Key words: cardiac valve surgery, ventilation mode, pressure regulated volume-controlled ventilation, volume-controlled ventilation, lung protection, respiratory mechanics

中图分类号: