实用医学杂志 ›› 2024, Vol. 40 ›› Issue (11): 1483-1487.doi: 10.3969/j.issn.1006-5725.2024.11.003

• 专题报道:帕金森病 • 上一篇    下一篇

血清Aβ1-42、P-Tau181和Hcy与帕金森病患者睡眠障碍的相关性

李燕云1,陈雪萍1,田佩佩1,白婷1,郭琴1,郭淼2()   

  1. 1.新疆生产建设兵团医院(石河子大学医学院第二附属医院),康复科,(乌鲁木齐 830002 )
    2.新疆生产建设兵团医院(石河子大学医学院第二附属医院),神经内科,(乌鲁木齐 830002 )
  • 收稿日期:2023-09-25 出版日期:2024-06-10 发布日期:2024-06-13
  • 通讯作者: 郭淼 E-mail:28174934@qq.com
  • 基金资助:
    国家自然科学基金项目(U1603281)

The correlations of serum Aβ1⁃42, P⁃Tau181, and Hcy levels with sleep disorders in Parkinson′s disease patients

Yanyun LI1,Xueping CHEN1,Peipei TIAN1,Ting BAI1,Qin GUO1,Miao. GUO2()   

  1. *.Department of Rehabilitation,Xinjiang Production and Construction Corps Hospital,the Second Affiliated Hospital of Shihezi University Medical College,Urumqi 830002,China
  • Received:2023-09-25 Online:2024-06-10 Published:2024-06-13
  • Contact: Miao. GUO E-mail:28174934@qq.com

摘要:

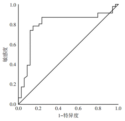
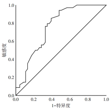
目的 探讨血清Aβ1-42、P-Tau181和Hcy与帕金森病(PD)患者睡眠障碍的相关性。 方法 将80例PD患者根据匹兹堡睡眠质量指数(PSQI)评估结果分为睡眠正常组(< 7分)和睡眠障碍组(≥ 7分)。采用单因素和多因素logistic回归分析血清Aβ1-42、P-Tau181和Hcy水平与PD患者睡眠障碍的相关性。采用受试者工作特征(ROC)曲线分析不同指标预测PD患者发生睡眠障碍的效能参数。 结果 单因素和多因素logistic回归分析发现血清Aβ1-42和Hcy分别是PD患者发生睡眠障碍的保护因素和独立危险因素(P < 0.05)。血清Aβ1-42、Hcy水平预测PD伴睡眠障碍的AUC分别为0.757(95%CI:0.652 ~ 0.861)和0.796(95%CI:0.688 ~ 0.905)。 结论 PD患者血清Aβ1-42、Hcy水平与睡眠障碍密切相关,可作为临床诊断PD伴睡眠障碍的预测因子。

关键词: 帕金森病, 睡眠障碍, 血清β淀粉样蛋白1-42, 磷酸化Tau蛋白-181, 同型半胱氨酸, 相关性

Abstract:

Objective To investigate the correlations of serum Aβ1?42, P?Tau181, and Hcy levels with sleep disorders in patients with Parkinson's disease (PD). Methods A total of 80 PD patients were divided into a normal sleep group (< 7 points) and a sleep disorder group (≥ 7 points) based on the evaluations with Pittsburgh Sleep Quality Index (PSQI). Univariate and multivariate logistic regression analyses were performed to investigate the correlations between the levels of serum Aβ1-42, P-Tau181, and Hcy levels and sleep disorders. Receiver operating characteristic (ROC) curves were used to analyze the efficacy parameters of different indicators in predicting sleep disorders in those patients. Results Univariate and multivariate logistic regression analyses showed that serum Aβ1-42 and Hcy were protective and independent risk factors for sleep disorders in the PD patients, respectively (P < 0.05). The predictive AUCs of serum Aβ1-42 and Hcy levels for sleep disorders in the PD patients were 0.757 (95% CI: 0.652 ~ 0.861) and 0.796 (95% CI: 0.688 ~ 0.905), respectively. Conclusion The levels of serum Aβ1-42 and Hcy in PD patients are closely related to sleep disorders. Therefore, they can be used as predictive factors for clinical diagnosis of PD with sleep disorders.

Key words: Parkinson's disease, sleep disorder, Aβ1-42, P-Tau181, Hcy, correlation

中图分类号: