实用医学杂志 ›› 2023, Vol. 39 ›› Issue (21): 2743-2749.doi: 10.3969/j.issn.1006-5725.2023.21.009
章梦一1,余洋洋1,2,李征亚1,俞永珍1,3,张春丽1,程天豪1,3,雷亦笑1,周文杰1,邹秀兰1,3(),邹玉平1,2,3
Mengyi ZHANG1,Yangyang YU1,2,Zhengya LI1,Yongzhen YU1,3,Chunli ZHANG1,Tianhao CHENG1,3,Yixiao LEI1,Wenjie ZHOU1,Xiulan ZOU1,3(),Yuping ZOU1,2,3
摘要:
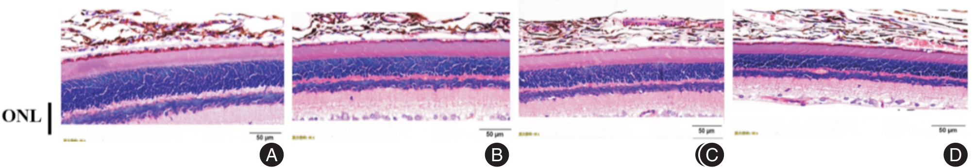
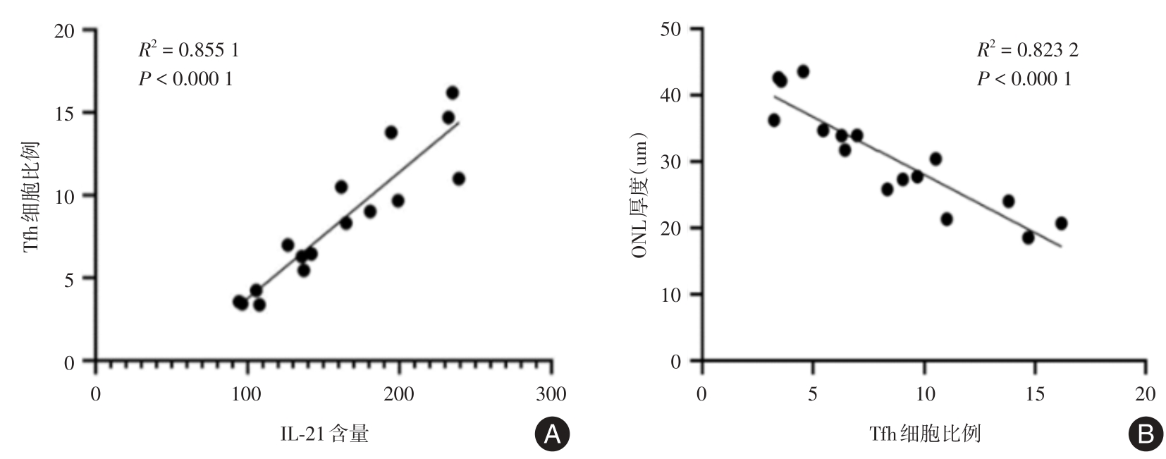
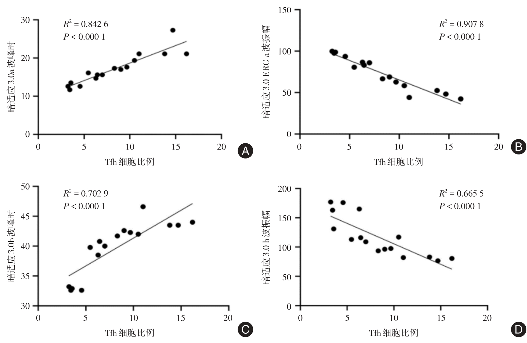
目的 探讨外周血滤泡辅助性T细胞(Tfh细胞)比例及其胞内白介素-21(IL-21)含量与蓝光视网膜损伤的相关性。 方法 随机将 Brown Norway(BN)大鼠均分为4组,采用蓝光全身每天照射3小时建立大鼠视网膜光损伤模型。按照射时间分为光照0天组即对照组(0 d组)、3天组(3 d组)、7天组(7 d组)和14天组(14 d组)。光照后采用流式细胞术和ELISA法分别检测大鼠外周血中Tfh细胞的比例及其胞内白介素21(IL-21)含量;视网膜电流图(ERG)检查评价视网膜功能;眼底照相和HE染色分别检查眼底改变和视网膜外核层厚度变化。 结果 与对照组相比,视网膜蓝光损伤后外周血Tfh细胞比例和胞内IL-21含量均随光照时间延长显著增加(均P < 0.05);ERG显示随光照时间延长视网膜功能损害加重,a、b波潜伏期和振幅分别随光照时间延长而延长和降低(均P < 0.01);大鼠眼底在光照3 d出现色素脱失样改变,随光照时间延长出现视网膜血管变细及渗出样改变;HE染色显示随光照时间延长ONL厚度显著变薄(均P < 0.05)。相关性分析提示外周血Tfh细胞比例及其胞内IL-21含量可共同反映损伤程度(P < 0.000 1),外周血Tfh细胞比例与ERG的a波和b波振幅及外核层(ONL)厚度呈负相关、与ERG的a波和b波峰时呈正相关(均P < 0.000 1)。 结论 视网膜蓝光损伤后大鼠外周血Tfh细胞比例及其胞内IL-21含量升高,并随光照时间延长显著升高,且二者存在一定的相关性。
中图分类号: