实用医学杂志 ›› 2025, Vol. 41 ›› Issue (24): 3867-3874.doi: 10.3969/j.issn.1006-5725.2025.24.010

• 临床研究 • 上一篇    

床旁胸部CT指导的个性化呼气末正压策略对中重度急性呼吸窘迫综合征的效果

吕建磊,刘敏,戴瑶,黄康()   

  1. 长沙市第一医院重症医学科 (湖南 长沙 410005 )
  • 收稿日期:2025-09-25 出版日期:2025-12-25 发布日期:2025-12-25
  • 通讯作者: 黄康 E-mail:hhhakkk@163.com
  • 基金资助:
    湖南省自然科学基金项目(2025JJ80496);湖南省卫生健康委科研计划项目(D202317016713)

The effect of PEEP strategy guided by bedside chest CT in moderate to severe ARDS

Jianlei LÜ,Min LIU,Yao DAI,Kang. HUANG()   

  1. Department of Critical Care Medicine,Changsha First Hospital,Changsha 410005,Hunan,China
  • Received:2025-09-25 Online:2025-12-25 Published:2025-12-25
  • Contact: Kang. HUANG E-mail:hhhakkk@163.com

摘要:

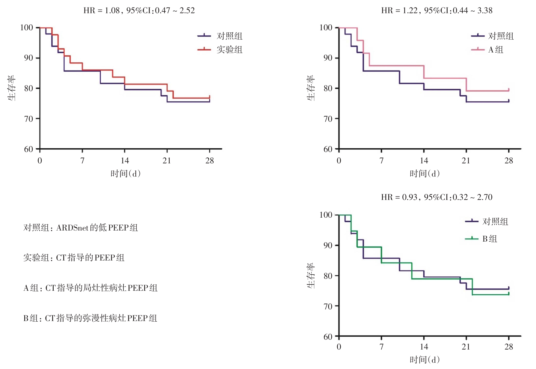
目的 探讨基于床旁胸部CT形态学特征指导的个性化呼气末正压(positive end-expiratory pressure,PEEP)策略对中重度急性呼吸窘迫综合征(acute respiratory distress syndrome,ARDS)患者结局预后的影响。 方法 采用前瞻性临床对照研究,纳入长沙市第一医院重症医学科2023年1月至2025年1月期间的中重度 ARDS患者92例,按分层随机化分为两组:对照组(49例)采用ARDSnet低PEEP策略调整PEEP,实验组(43例)根据CT形态学特征实施个性化PEEP策略(局灶型ARDS采用低PEEP,弥漫型ARDS采用ARDSnet 高PEEP)。主要结局为28 d病死率,次要结局包括机械通气时间、ICU住院时间及呼吸力学指标。 结果 两组28 d病死率差异无统计学意义(P > 0.05)。与对照组相比,实验组显著改善中重度ARDS患者的肺顺应性与氧合指数(PaO?/FiO?),降低平台压、吸入氧浓度(FiO?)及PEEP水平(P < 0.05),且明显缩短机械通气时间(P < 0.05);两组ICU住院时长差异无统计学意义(P > 0.05)。 结论 基于胸部CT形态学指导的PEEP策略虽未明显改善中重度ARDS患者的病死率,但可有效优化患者呼吸力学状态与氧合功能,缩短机械通气时间,为中重度ARDS患者的通气管理提供参考。

关键词: 中重度急性呼吸窘迫综合征, 呼气末正压, 胸部CT

Abstract:

Objective To investigate the impact of a personalized positive end-expiratory pressure (PEEP) strategy, guided by bedside chest CT morphological features, on the outcomes and prognosis of patients with moderate to severe acute respiratory distress syndrome (ARDS). Methods A prospective clinical controlled study was conducted, involving 92 patients with moderate to severe ARDS admitted to the intensive care unit of Changsha First Hospital between January 2023 and January 2025. Patients were randomly assigned to one of two groups using stratified randomization. The control group (n = 49) received ventilation according to the ARDSnet low PEEP strategy, while the experimental group (n = 43) was managed with a personalized PEEP strategy based on CT morphological characteristics-low PEEP for focal ARDS and high PEEP for diffuse ARDS. The primary outcome measure was 28-day all-cause mortality, while secondary outcomes included duration of mechanical ventilation, length of ICU stay, and indices of respiratory mechanics. Results There was no statistically significant difference in the 28-day mortality rate between the two groups (P > 0.05). Compared with the control group, the experimental group showed significant improvements in lung compliance and oxygenation index (PaO2/FiO?) in patients with moderate to severe ARDS, along with significant reductions in plateau pressure, inhaled oxygen concentration (FiO?), and PEEP levels (all P < 0.05). Additionally, the duration of mechanical ventilation was significantly shorter in the experimental group (P < 0.05). However, there was no statistically significant difference in the length of ICU stay between the two groups (P > 0.05). Conclusion A PEEP strategy guided by chest CT morphology does not significantly reduce mortality in patients with moderate to severe ARDS; however, it effectively improves respiratory mechanics and oxygenation, shortens mechanical ventilation duration, and provides valuable insights for ventilation management in these patients.

Key words: moderate to severe acute respiratory distress syndrome, positive end expiratory pressure, chest CT

中图分类号: