实用医学杂志 ›› 2025, Vol. 41 ›› Issue (11): 1655-1662.doi: 10.3969/j.issn.1006-5725.2025.11.007

• 临床研究 • 上一篇    

PD-1、PD-L1在慢性阻塞性肺疾病急性加重患者中的表达特点及诊断价值

史月欣1,2,李莉1(),晏军1,4,吴彩军1,姚志3,菅原蓁1,2,李子晴1,李芳1,杨露露1   

  1. 1.北京中医药大学东直门医院急诊科 (北京 100700 )
    2.北京中医药大学 (北京 100029 )
    3.北京中医药大学 房山医院 (北京 102488 )
    4.北京中医药大学第三附属医院 (北京 100029 )
  • 收稿日期:2025-02-13 出版日期:2025-06-10 发布日期:2025-06-19
  • 通讯作者: 李莉 E-mail:15901337796@163.com
  • 基金资助:
    国家自然科学基金项目(82205036)

Expression characteristics and diagnostic value of PD⁃1 and PD⁃L1 in patients with acute exacerbation of chronic obstructive pulmonary disease

Yuexin SHI1,2,Li LI1(),Jun YAN1,4,Caijun WU1,Zhi YAO3,Yuanzhen JIAN1,2,Ziqing LI1,Fang LI1,Lulu YANG1   

  1. *.Department of Emergency,Dongzhimen Hospital,Beijing University of Traditional Chinese Medicine,Beijing 100700,Beijing,China
    *.Beijing University of Traditional Chinese Medicine,Beijing 100029,Beijing,China
  • Received:2025-02-13 Online:2025-06-10 Published:2025-06-19
  • Contact: Li LI E-mail:15901337796@163.com

摘要:

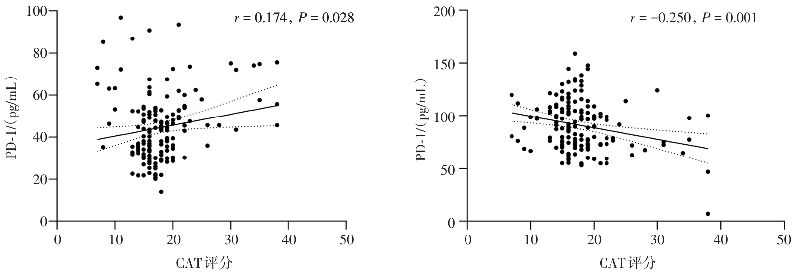
目的 探讨程序性死亡受体1(PD-1)和其配体(PD-L1)在慢性阻塞性肺疾病急性加重(acute exacerbation of chronic obstructive pulmonary disease,AECOPD)患者中的表达特点及临床诊断价值。 方法 纳入2024年411月期间就诊于北京中医药大学东直门医院的160例慢性阻塞性肺疾病(chronic obstructive pulmonary disease,COPD)患者,根据疾病严重程度将其分为AECOPD组100例和COPD稳定组60例,另招募同时期就诊的40例健康志愿者作为对照组。收集患者的一般临床资料,进行慢阻肺评估测试(CAT)和改良版英国医学研究委员会呼吸困难问卷(mMRC)评分,进行呼吸功能检测,并采集空腹静脉血用于血清PD-1、PD-L1检测。Pearson法分析血清PD-1、PD-L1与CAT、mMRC的相关性。采用多因素logistic回归分析发生AECOPD的影响因素。绘制受试者工作特征(ROC)曲线评估血清PD-1、PD-L1水平对AECOPD的诊断价值。 结果 与对照组相比,COPD稳定期组、AECOPD组患者血清PD-1水平显著升高,血清PD-L1水平显著降低,差异有统计学意义(P < 0.05);PD-1水平随着肺功能分级而逐级升高,差异有统计学意义(P < 0.05);PD-1水平随着AECOPD病情的恶化而逐级升高,差异有统计学意义(P < 0.05);Pearson相关性分析结果显示,COPD患者血清PD-1水平与CAT评分呈正相关,血清PD-L1水平与CAT评分呈负相关(P < 0.05);多因素logistic回归分析结果表明:血清白细胞介素-6(IL-6)、中性粒细胞与淋巴细胞比值(NLR)、PD-1水平升高是发生AECOPD的危险因素(OR = 1.406,95%CI: 1.072 ~ 1.844),PD-L1水平升高是发生AECOPD的保护因素(OR = 0.746,95%CI: 0.602 ~ 0.926);ROC曲线结果显示PD-1、PD-L1、IL-6、NLR水平以及四者联合预测诊断AECOPD的ROC曲线下面积(AUC)分别为0.884、0.867、0.868、0.802、0.995。 结论 AECOPD患者的血清PD-1和PD-L1具有一定的表达特点,PD-1水平升高而PD-L1水平降低,二者对AECOPD均具有良好的临床诊断价值。

关键词: 慢性阻塞性肺疾病急性加重, 程序性死亡受体1, 程序性死亡配体1

Abstract:

Objective To investigate the expression characteristics and clinical diagnostic value of programmed death receptor 1 (PD-1) and its corresponding ligand (PD-L1) in patients with acute exacerbation of chronic obstructive pulmonary disease (AECOPD). Methods One hundred and sixty COPD patients who visited Dongzhimen Hospital of Beijing University of Chinese Medicine from April 2024 to November 2024 were included and divided into an acute exacerbation group of 100 cases and a stable group of 60 cases according to the severity of the disease. Additionally, 40 healthy volunteers during the same period were recruited as the control group. The general clinical data of the patients were collected. Chronic Obstructive Pulmonary Disease Assessment Test (CAT) and Modified Medical Research Council Dyspnea Questionnaire (mMRC) Scale were used to test the severity of the disease; respiratory function testing was performed and fasting venous blood was collected for serum PD-1 and PD-L1 testing. Pearson correlation was used to analyze the correlation between serum PD-1, PD-L1, CAT, and mMRC, and multiple logistic regression analysis to identify the influencing factors of AECOPD. Receiver operating characteristic (ROC) curve was drawn to evaluate the diagnostic value of serum PD-1 and PD-L1 level for AECOPD. Results Serum PD-1 level in the stable COPD group and AECOPD group was significantly increased compared with that in the control group, while serum PD-L1 level was significantly decreased, showing statistical significance (P < 0.05); The level of PD-1 gradually increased with the grading of lung function and the deterioration of AECOPD, with statistical significance (P < 0.05); Pearson correlation showed that serum PD-1 level was positively correlated with CAT scores in COPD patients, while negatively with CAT scores, showing statistical significance (P < 0.05); Multiple logistic regression analysis showed that elevated levels of serum interleukin-6 (IL-6), neutrophil to lymphocyte ratio (NLR), and PD-1 were risk factors for AECOPD, while elevated level of PD-L1 was protective factor for AECOPD (P < 0.05); ROC curve showed that the levels of PD-1, PD-L1, IL-6, NLR, and the area under the ROC curve (AUC) for their combined prediction of AECOPD diagnosis were 0.884, 0.867, 0.868, 0.802, and 0.995, respectively. Conclusion Serum PD-1 and PD-L1 in AECOPD patients have presented certain expression characteristics, with elevated PD-1 level while decreased PD-L1 level. Both have good clinical diagnostic value for AECOPD.

Key words: acute exacerbation of chronic obstructive pulmonary disease, programmed death 1, programmed death ligand 1

中图分类号: