实用医学杂志 ›› 2024, Vol. 40 ›› Issue (24): 3458-3467.doi: 10.3969/j.issn.1006-5725.2024.24.005

• 临床研究 • 上一篇    下一篇

基于肠道生物标志物评价肠内营养补充益生菌治疗重症胰腺炎的获益与限制

许乐乐1,陈彦君1,陆件2,陈亚欧2()   

  1. 1.苏州大学附属第一医院消化内科 (江苏 苏州 215000 )
    2.南京医科大学附属苏州医院(南京医科大学姑苏学院,苏州市立医院道前院区)重症医学科 (江苏 苏州 215000 )
  • 收稿日期:2024-09-12 出版日期:2024-12-25 发布日期:2024-12-23
  • 通讯作者: 陈亚欧 E-mail:chenyaou99@163.com
  • 基金资助:
    国家自然科学基金项目(82300595);南京医科大学姑苏学院科研项目(GSKY20210215)

To evaluate the benefits and limitations of enteral nutrition supplementation with probiotics in the treatment of severe pancreatitis based on intestinal biomarkers

Lele XU1,Yanjun CHEN1,Jian LU2,Ya′ou. CHEN2()   

  1. *.Department of Gastroenterology,the First Affiliated Hospital of Soochow University,Suzhou 215000,Jiangsu,China
  • Received:2024-09-12 Online:2024-12-25 Published:2024-12-23
  • Contact: Ya′ou. CHEN E-mail:chenyaou99@163.com

摘要:

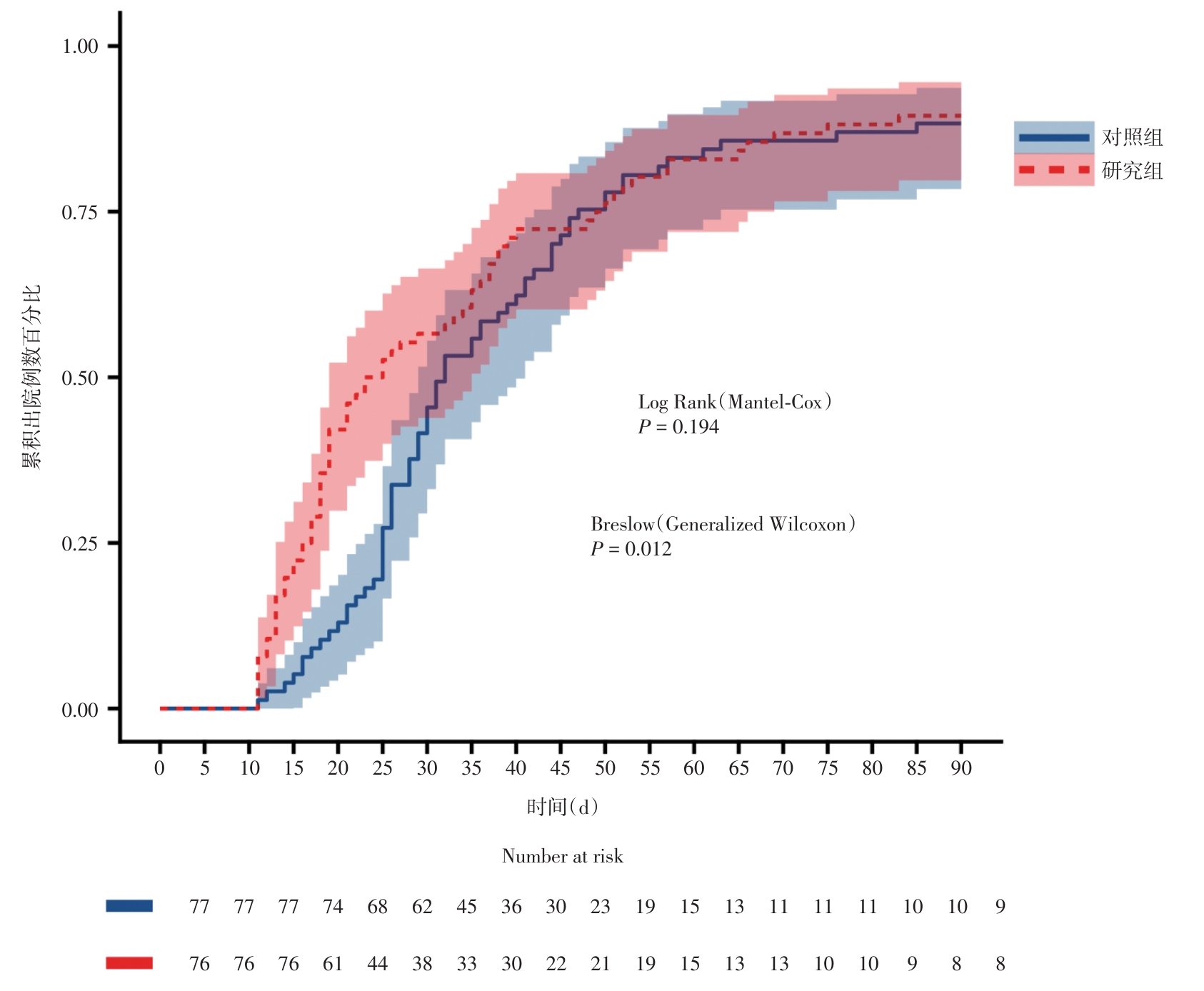
目的 通过肠型脂肪酸结合蛋白(I-FABP)、D-乳酸(D-Lac)、瓜氨酸的动态变化来协助评价肠内营养补充益生菌治疗重症胰腺炎的获益与限制。 方法 自2021年6月至2024年6月,共纳入苏州大学附属第一医院消化内科、南京医科大学附属苏州医院重症医学科重症胰腺炎病例153例,根据开始肠内营养(EN)后是否接受益生菌治疗分为研究组和对照组。研究组予双歧杆菌三联活菌胶囊每天4粒;观察期为EN后10 d,检测时间点:EN开始前(D0),EN开始第3天(D3),EN开始第10天(D10)。3种肠道生物标志物(I?FABP、D?Lac、瓜氨酸)先采用重复测量方差分析和D10为终点的疗效分析,并通过亚组分析探讨抗生素使用对益生菌的限制作用。比较两组胰腺炎常规评价指标(包括淀粉酶、炎症指标及相关评分等)、EN后肠道耐受性、90 d死亡率、出院时间等相关指标。 结果 重复测量方差分析结果显示益生菌干预下:(1)I-FABP主效应不显著(P = 0.076),但与治疗时间交互效应显著(F = 10.691,P = 0.001,偏η2 = 0.066);(2)D-Lac主效应不显著(P = 0.761),与治疗时间交互效应同样不显著(F = 0.004,P = 0.995,偏η2 < 0.001);(3)瓜氨酸主效应不显著(P = 0.161),但与治疗时间交互效应显著(F = 32.437,P < 0.001,偏η2 = 0.177)。终点疗效分析显示:(1)I-FABP研究组较对照组前下降水平更高[Difference in LS Mean (95% CI) = -0.43 (-0.47 ~ -0.40) μg/L,P < 0.001];(2)D-Lac研究组较对照组前后差异无统计学意义[Difference in LS Mean (95% CI) = 0.01 (0.00 ~ 0.02) mmol/L,P = 0.229],但亚组分析发现未使用抗生素者D-Lac下降水平表现为研究组低于对照组(P = 0.043),抗生素使用与2组D-Lac下降水平有交互作用(P for interaction = 0.012);(3)较对照组瓜氨酸在研究组上升水平更高(P < 0.001)。两组胰腺炎常规评价指标、EN后肠道耐受性、90 d死亡率等差异无统计学意义(P > 0.05);随访90 d,研究组较对照早期出院率更高(Breslow P = 0.012)。 结论 基于症状缓解、90 d死亡率、炎症指标及淀粉酶的变化等常规评价标准,不能证明益生菌治疗有益于重症胰腺炎。从I-FABP、瓜氨酸的动态变化中可证明益生菌有利于重症胰腺炎患者肠上皮细胞逆转坏死,并促进其吸收/合成功能的恢复。D-Lac有潜力成为补充益生菌是否在肠道中发挥作用的指标,以此可证明广谱抗生素的使用限制了益生菌的疗效。

关键词: 肠型脂肪酸结合蛋白, D-乳酸, 瓜氨酸, 重症胰腺炎, 益生菌

Abstract:

Objective To assess the efficacy and limitations of enteral nutrition supplemented with probiotics in managing severe pancreatitis, we investigated the dynamic alterations of enteric fatty acid-binding protein (I-FABP), D-lactic acid (D-Lac), and citrulline. Methods Between June 2021 and June 2024, a total of 153 cases of severe pancreatitis were enrolled from the Department of Gastroenterology at the First Affiliated Hospital of Soochow University and the Department of Critical Care Medicine at Suzhou Hospital Affiliated with Nanjing Medical University. These cases were divided into two groups: A treatment group receiving probiotics in addition to enteral nutrition (EN), and a control group without probiotic supplementation. The treatment group received a daily dosage of four capsules containing bifidobacterium triple live bacteria. Intestinal biomarkers were assessed at three time points following EN initiation: before initiation (D0), on day 3 (D3), and on day 10 (D10) after initiation. Repeated measures ANOVA was employed to analyze the efficacy of the three intestinal biomarkers, with D10 as the endpoint for evaluation. Subgroup analysis was conducted to explore any potential influence of antibiotic usage on probiotic effects. Various conventional evaluation indicators for pancreatitis, including amylase levels, inflammation markers, relevant scores, post-EN intestinal tolerance, 90-day mortality rates, discharge times, and other related outcomes were compared between the two groups. Results The results of a repeated measurement ANOVA showed that: (1) the main effect of I-FABP did not reach statistical significance (P = 0.076), whereas the interaction effect was statistically significant (F = 10.691, P = 0.001, partial η2 = 0.066); (2) Neither the main effect of D-Lac nor its interaction effect reached statistical significance (P = 0.761 and P = 0.995, respectively; F < 0.004 for both effects, partial η2 < 0.001); (3) Although the main effect of citrulline did not reach statistical significance (P = 0.161), its interaction effect was found to be statistically significant with a large effect size (F = 32.437, P < 0.001, partial η2 = 0.177). Endpoint efficacy analysis demonstrated that: (1) The I-FABP treatment group exhibited significantly higher pre-reduction levels compared to the control group (Difference in LS Mean (95% CI) -0.43 (-0.47 ~ -0.40) μg/L, P < 0.001); (2) There was no statistically significant difference observed in the D-Lac treatment group compared to the control group [Difference in LS Mean (95%CI) = 0.01 (0.00 ~ 0.02) mmol/L, P = 0.229]. However, subgroup analysis revealed that the decline in D-Lac levels was comparatively lower in the treatment group than in the control group (P = 0.043), and there was an interaction between antibiotic use and the level of D-Lac decline within both groups (P for interaction = 0.012); (3) The citrulline level was found to be significantly higher in the treatment group compared to the control group (P < 0.001). There were no significant differences observed between the two groups regarding routine evaluation indexes, intestinal tolerance after enteral nutrition, and 90-day mortality rates (P > 0.05). After a follow-up period of 90 days, it was noted that patients from the treatment group had a higher rate of early discharge when compared to those from the control group. (Breslow P = 0.012). Conclusions Based on conventional evaluation criteria such as symptom remission, 90-day mortality, inflammatory markers, and amylase changes, probiotics do not demonstrate efficacy for severe pancreatitis. The dynamic changes of I-FABP and citrulline provide evidence supporting the potential of probiotics to reverse intestinal epithelial cell necrosis and promote recovery of their absorption/synthesis function in patients with severe pancreatitis. D-lactic acid has the potential to serve as an indicator for assessing the effectiveness of supplemental probiotics in the gut, thereby highlighting how the use of broad-spectrum antibiotics may limit their efficacy.

Key words: intestinal fatty acid binding protein, D-lactic acid, citrulline, severe pancreatitis, probiotic

中图分类号: