实用医学杂志 ›› 2025, Vol. 41 ›› Issue (22): 3529-3536.doi: 10.3969/j.issn.1006-5725.2025.22.009

• 基础研究 • 上一篇    

缺氧下间充质干细胞分泌的外泌体对软骨细胞损伤的影响

陈少初1,2,龚铭2,张望2,吴家文2,黄广鑫3,张亚东1()   

  1. 1.南方医科大学第三附属医院骨科医学中心脊柱外科一科 (广东 广州 510630 )
    3.南方医科大学第三附属医院骨科医学中心 运动医学科 (广东 广州 510630 )
    2.深圳市龙华区人民医院脊柱外科 (广东 深圳 518109 )
  • 收稿日期:2025-08-01 出版日期:2025-11-25 发布日期:2025-11-26
  • 通讯作者: 张亚东 E-mail:zhangyadong6@126.com
  • 基金资助:
    广东省自然科学基金项目(2018030310355)

Effects of exosomes secreted from mesenchymal stem cells on chondrocyte injury under hypoxia

Shaochu CHEN1,2,Ming GONG2,Wang ZHANG2,Jiawen WU2,Guangxin HUANG3,Yadong ZHANG1()   

  1. *.Department of Spine Surgery (Division 1),Center for Orthopedic Surgery,the Third Affiliated Hospital,Southern Medical University,Guangzhou 510630,Guangdong,China
    *.Department of Spine Surgery,People′s hospital of Longhua,Shenzhen,Shenzhen 518109,Guangdong,China
  • Received:2025-08-01 Online:2025-11-25 Published:2025-11-26
  • Contact: Yadong ZHANG E-mail:zhangyadong6@126.com

摘要:

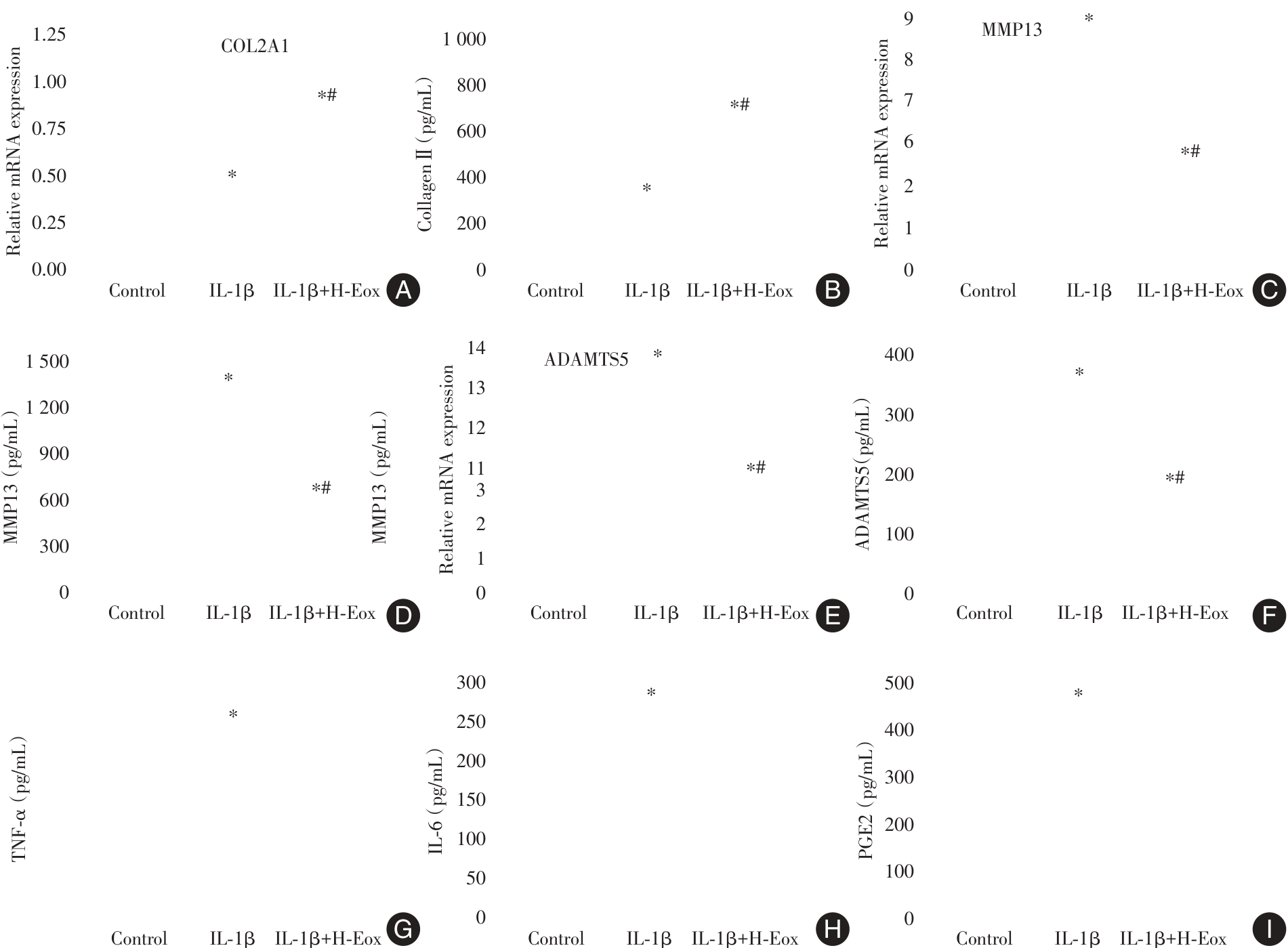
目的 探讨缺氧下间充质干细胞(MSCs)所分泌的外泌体(Exos)对软骨细胞损伤的影响。 方法 间充质干细胞进行缺氧处理后,收集其外泌体与IL-1β处理的软骨细胞共培养,再行CCK-8法检测细胞存活力,流式检测细胞凋亡,商用试剂盒检测Caspase-3和聚腺苷二磷酸核糖聚合酶(PARP)活性及活性氧(ROS)、Fe2+和丙二醛(MDA)的累积,荧光定量PCR(qRT-PCR)和Western blot检测谷胱甘肽过氧化物酶4(GPX4)、溶质载体家族7成员11(SLC7A11)和辅酶A合成酶长链家族成员4(ACSL4)的表达,ELISA检测Ⅱ型胶原α1(COL2A1)、基质金属蛋白酶13(MMP13)、血小板反应蛋白解整合素金属肽酶5(ADAMTS5)、炎症因子肿瘤坏死因子α(TNF-α)、白细胞介素-6(IL-6)、前列腺素E2(PGE2)的分泌。 结果 软骨细胞能摄取缺氧处理间充质干细胞所分泌外泌体(H-Exo),从而增强细胞存活力(P < 0.05)。IL-1β减少软骨细胞存活力,增强Caspase-3和PARP活性而促进凋亡(P < 0.05),而H-Exo显著逆转IL-1β诱导的凋亡。IL-1β还显著下调GPX4和SLC7A11的表达,并增强ACSL4的表达,同时增加ROS、Fe2+和MDA的累积(P < 0.05);铁死亡抑制剂和H-Exo均明显抑制IL-1β诱导的细胞铁死亡,且H-Exo能减弱IL-1β和铁死亡诱导剂的抑存活作用。另外,IL-1β显著抑制软骨合成基因COL2A1的表达,促进软骨降解主要酶MMP13和ADAMTS5的表达,并增强炎症因子TNF-α、IL-6和PGE2的分泌(P < 0.05),而H-Exo能降低IL-1β诱导的软骨合成分解代谢失衡和炎症。 结论 缺氧下间充质干细胞分泌的外泌体能抑制软骨细胞凋亡、铁死亡和减轻损伤,表明其具有软骨细胞保护作用,有望为软骨损伤的治疗提供新策略。

关键词: 骨关节炎, 软骨缺损, 软骨细胞, 外泌体, 铁死亡

Abstract:

Objective To investigate the effects of exosomes derived from hypoxia-treated mesenchymal stem cells on chondrocyte injury. Methods After mesenchymal stem cells were subjected to hypoxic treatment, the secreted exosomes were collected and co-cultured with IL-1β-stimulated chondrocytes. Cell viability was assessed using the CCK-8 assay, while apoptosis was evaluated by flow cytometry and the measurement of Caspase-3 and PARP activities. Intracellular levels of ROS, Fe2+, and MDA were quantified using commercial assay kits. The expression of GPX4, SLC7A11, and ACSL4 was analyzed at both mRNA and protein levels via qRT-PCR and Western blot, respectively. Additionally, the secretion of COL2A1, MMP13, ADAMTS5, TNF-α, IL-6, and PGE2 was determined by ELISA. Results Chondrocyte viability was significantly enhanced following the uptake of exosomes derived from hypoxia-treated mesenchymal stem cells (H-Exo) (P < 0.05). IL-1β treatment reduced chondrocyte viability, increased Caspase-3 and PARP activities, and promoted apoptosis (P < 0.05); however, H-Exo effectively reversed IL-1β-induced apoptotic effects. Furthermore, IL-1β markedly down-regulated the expression of GPX4 and SLC7A11, up-regulated ACSL4 expression, and elevated intracellular levels of ROS, Fe2+, and MDA (P < 0.05), indicating the induction of ferroptosis. Both the ferroptosis inhibitor and H-Exo significantly attenuated IL-1β-triggered ferroptosis, and H-Exo counteracted the detrimental effects of IL-1β as well as those induced by a ferroptosis inducer. Additionally, IL-1β suppressed the expression of the chondrogenic marker COL2A1, up-regulated the catabolic enzymes MMP13 and ADAMTS5, and enhanced the secretion of pro-inflammatory cytokines TNF-α, IL-6, and PGE2 (P < 0.05). Notably, H-Exo alleviated IL-1β-mediated inflammation and restored the balance between chondrogenic anabolism and catabolism. Conclusions Exosomes secreted by mesenchymal stem cells under hypoxic conditions can effectively inhibit chondrocyte apoptosis and ferroptosis, thereby alleviating cellular injury. These findings suggest that such exosomes exert a protective effect on chondrocytes and hold promise as a novel therapeutic strategy for cartilage repair.

Key words: osteoarthritis, cartilage defect, chondrocyte, exosome, ferroptosis

中图分类号: